[路飞]_leetcode-24-两两交换链表中的节点

403 阅读1分钟

一、题目描述

  • 给你一个链表,两两交换其中相邻的节点,并返回交换后链表的头节点。你必须在不修改节点内部的值的情况下完成本题(即,只能进行节点交换)。

image.png

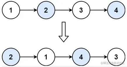
输入:head = [1,2,3,4]
输出:[2,1,4,3]
示例 2:
输入:head = []
输出:[]
示例 3:
输入:head = [1]
输出:[1]

分析

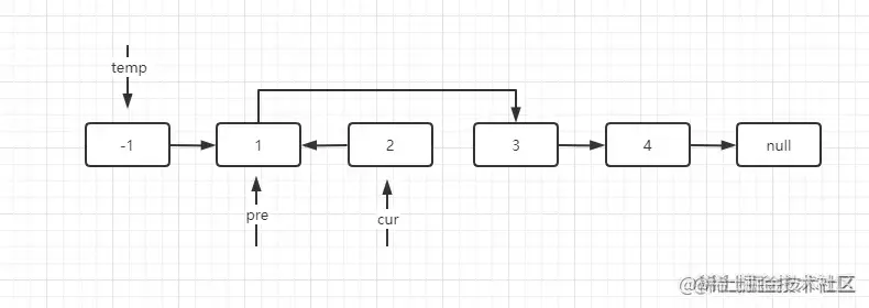
创建一个虚拟头节点,指向链表里的head

定义temp指针,指向虚拟头节点 定义pre指针,指向temp指针所指向节点的下一个节点 定义cur指针,指向pre指针所指向节点的下一个节点

image.png

使pre所指向节点指向cur指针所指向节点的下一个节点 使cur所指向节点指向pre指针所指向的节点

image.png

temp移动到cur指向节点 pre移动到cur指向节点的下一个节点 cur移动到移动后pre指向节点的下一个节点

image.png

继续指向上述操作

image.png

重复执行,直到pre或者cur指向null

image.png

整理一下

image.png

二、代码实现

/**
 * @param {ListNode} head
 * @return {ListNode}
 */
var swapPairs = function(head) {
    let ret = new ListNode(-1,head)
    let temp = ret
    while(temp.next&&temp.next.next){
        let pre = temp.next
        let cur = temp.next.next
        pre.next = cur.next
        cur.next = pre
        temp.next = cur
        temp = pre
    }
    return ret.next
};