[路飞][LeetCode]24_两两交换链表中的节点

274 阅读1分钟

看一百遍美女,美女也不一定是你的。但你刷一百遍算法,知识就是你的了~~

谁能九层台,不用累土起。

题目地址

题目

给你一个链表,两两交换其中相邻的结点,并返回交换后链表的头节点。你必须在不修改节点内部的值的情况下完成本题(即,只能进行节点交换)。

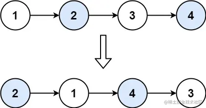
示例 1:

image.png

输入: head = [1,2,3,4]
输出: [2,1,4,3]

示例 2:

输入: head = []
输出: []

示例 3:

输入: head = [1]
输出: [1]

提示:

  • 链表中节点的数目在范围 [0, 100] 内
  • 0 <= Node.val <= 100

解题思路

  • 先理解题目要求:
    • 将链表分为n个长度为2的小链表
    • 每个小链表进行翻转
  • 理解了题目要要求那就好办了,我们可以先定义一个虚拟头结点,从虚拟头结点向后找两个节点并记录第二个节点的后置节点
  • 将第一个节点指向后置节点,第二个节点指向第一个节点,并将第一个节点当做下一次交换的虚拟头节点的位置
  • 循环上面操作

解题代码

var swapPairs = function (head) {
  let vnode = new ListNode(-1, head), pre = vnode;
  while (pre.next && pre.next.next) {
   let cur = pre.next
   let last = pre.next.next
   cur.next = last.next
   last.next= cur
   pre.next = last
   pre = cur
  }
  return vnode.next;
};

如有任何问题或建议,欢迎留言讨论!