[路飞]_leetcode-142-环形链表II

145 阅读2分钟

一、题目描述

给定一个链表,返回链表开始入环的第一个节点。 如果链表无环,则返回 null。

为了表示给定链表中的环,我们使用整数 pos 来表示链表尾连接到链表中的位置(索引从 0 开始)。 如果 pos 是 -1,则在该链表中没有环。注意,pos 仅仅是用于标识环的情况,并不会作为参数传递到函数中。

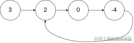
示例 1:

image.png

输入: head = [3,2,0,-4], pos = 1
输出: 返回索引为 1 的链表节点
解释: 链表中有一个环,其尾部连接到第二个节点。

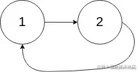
示例 2:

image.png

输入: head = [1,2], pos = 0
输出: 返回索引为 0 的链表节点
解释: 链表中有一个环,其尾部连接到第一个节点。

示例 3:

输入: head = [1], pos = -1
输出: 返回 null
解释: 链表中没有环。

进阶:你能用 *O(1)*  (即,常量)内存解决此问题吗?

分析

  1. fastslow同时从头节点出发,fast走俩步slow走一步

0ccdac8072ad703f7269247f66eb140.png 2. 第一次执行结果如下

dbea11eadec3006ba27f5753dbeea9f.png

  1. 第二次执行结果如下

5bf62bcb619a190046a35804cc3443b.png 4. 第三次执行结果如下

6a8b7a7cb7e61d6e7f842e1f059035b.png

  1. 第四次执行结果如下

48aecf1723d0bcabbd2d42a6fcc025c.png

  1. 第五次执行结果如下

8307a9b9168e86e487ac8938d5fa265.png

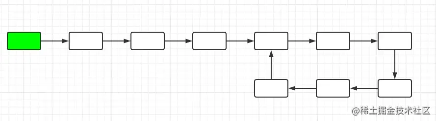
  1. 从上述五次执行结果来看,在绿色节点处fastslow再次相遇了

6b4194604ec373a82bbaaabd081a448.png

  • 我们把头节点到入环的第一个节点看成A
  • 把入环的第一个节点到fastslow相遇的节点看成B
  • fastslow相遇的节点到入环的第一个节点看成C
  • 也就是入上述图所示

fast: a+n(b+c)+b
slow: a+b
其中n代表fast所走的圈数,也就是说n >= 1

结合上面所述的所以内容我们可以得出一个公式

2(a+b)=a+n(b+c)+b 其中n >= 1
换算得:a=nc+(n-1)b 换算得:a=(n-1)(b+c)+c

  • 依据上图来看,n为1圈
  • 再次等到 a=c

到此可能有人会说,随着入环前所在的次数与入环所走的次数 n肯定是会变的。也就是说n不一定是1的时候才会相遇。 其实来说不管入环前所在的次数与入环所走的次数也不管n的为几,总会出现上述情况的,大家可以下去自己试一下。

通过 a=c 来看,只要我们让一个指针temphead出发每走一步,让slow继续走下去,他们最终会在第一个入环点相遇。

代码实现

/**
 * @param {ListNode} head
 * @return {ListNode}
 */
 var detectCycle = function(head) {
    if(head == null || head.next == null) return null;
    let fast = head;
    let slow = head;
    while(fast !== null && fast.next !== null){
        fast = fast.next.next;
        slow = slow.next;
        if(fast == slow){
            let temp = head;
            while(temp !== fast){
                fast = fast.next;
                temp = temp.next;
            }
            return  fast;
        }
    }
    return null;
};

如有更好实现请留言哦,欢迎点赞