[路飞]_leetcode-25-K 个一组翻转链表

147 阅读1分钟

一、题目要求

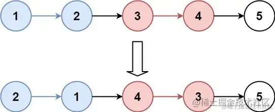
给你一个链表,每 k 个节点一组进行翻转,请你返回翻转后的链表。

k 是一个正整数,它的值小于或等于链表的长度。

如果节点总数不是 k 的整数倍,那么请将最后剩余的节点保持原有顺序。

进阶:

  • 你可以设计一个只使用常数额外空间的算法来解决此问题吗?
  • 你不能只是单纯的改变节点内部的值,而是需要实际进行节点交换。 

示例 1:

输入: head = [1,2,3,4,5], k = 2
输出: [2,1,4,3,5]

示例 2:

示例 3:

输入:head = [1,2,3,4,5], k = 1
输出:[1,2,3,4,5]

示例 4:

输入:head = [1], k = 1
输出:[1]

提示:

  • 列表中节点的数量在范围 sz 内
  • 1 <= sz <= 5000
  • 0 <= Node.val <= 1000
  • 1 <= k <= sz
思路
  • 一序寻找分成k个一组,分别反转
  • 在递归中把反转后的链表串起来
代码
/ 反转区间 [a, b) 的元素,注意是左闭右开
const reverse = (a, b) => {
  let pre, cur, nxt;
  cur = a;
  while (cur != b) {
    nxt = cur.next;
    cur.next = pre;
    pre = cur;
    cur = nxt;
  }
  // 返回反转后的头结点
  return pre;
};
/**
 * @param {ListNode} head
 * @param {number} k
 * @return {ListNode}
 */
var reverseKGroup = function (head, k) {
  if (head == null) {
    return head;
  }
  let a = head,
    b = head;
  for (let i = 0; i < k; i++) {
    // 不足 k 个,不需要反转,base case
    if (b == null) {
      return head;
    } else {
      b = b.next;
    }
  }
  // 反转前 k 个元素
  let newHead = reverse(a, b);
  a.next = reverseKGroup(b, k);
  return newHead;
};