[路飞][LeetCode]25_K 个一组翻转链表

156 阅读1分钟

看一百遍美女,美女也不一定是你的。但你刷一百遍算法,知识就是你的了~~

谁能九层台,不用累土起。

题目地址

题目

给你一个链表,每k个节点一组进行翻转,请你返回翻转后的链表。

k是一个正整数,它的值小于或等于链表的长度。

如果节点总数不是k的整数倍,那么请将最后剩余的节点保持原有顺序。

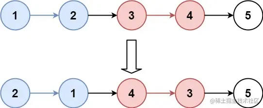
示例 1:

image.png

输入: head = [1,2,3,4,5], k = 2
输出: [2,1,4,3,5]

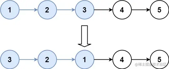
示例 2:

image.png

输入:head = [1,2,3,4,5], k = 3
输出:[3,2,1,4,5]

示例 3:

输入:head = [1,2,3,4,5], k = 1
输出:[1,2,3,4,5]

示例 4:

输入:head = [1], k = 1
输出:[1]

提示:

  • 列表中节点的数量在范围 sz 内
  • 1 <= sz <= 5000
  • 0 <= Node.val <= 1000
  • 1 <= k <= sz

解题思路

在解此题前,期待你已经解出了206_反转链表92_ 反转链表II

  • 此题在92题的基础上加上了多次翻转
  • 第一步,从head开始向后反转k个节点
  • 反转结束后head节点指向第k+1个节点
  • 重复上面步骤
  • 若节点个数不足k个,则不翻转

解题代码

var reverseKGroup = function (head, k) {
  if (!head) return head;
  let vnode = new ListNode(-1, head);
  let pre = vnode;
  do {
    pre.next = reverse(pre.next, k);
    for (let i = 0; (i < k) && pre; i++) {
      pre = pre.next;
    }
    if (!pre) break;
  } while (1);
  return vnode.next;
};
var reverse = function (head, n) {
  let pre = head;
  let con = n;
  let cur = head;
  while (--n&&pre) {
    pre = pre.next;
  }
  if (!pre) return head;
  pre = null;
  while (con--) {
    [cur.next, pre, cur] = [pre, cur, cur.next];
  }
  head.next = cur;
  return pre;
};

如有任何问题或建议,欢迎留言讨论!