[路飞]_LeetCode题141环形链表

254 阅读1分钟

题目描述

给你一个链表的头节点 head ,判断链表中是否有环。

如果链表中有某个节点,可以通过连续跟踪 next 指针再次到达,则链表中存在环。 为了表示给定链表中的环,评测系统内部使用整数 pos 来表示链表尾连接到链表中的位置(索引从 0 开始)。如果 pos 是 -1,则在该链表中没有环。注意:pos 不作为参数进行传递,仅仅是为了标识链表的实际情况。

如果链表中存在环,则返回 true 。 否则,返回 false 。

示例 1:

circularlinkedlist.png

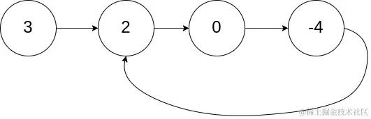
输入:head = [3,2,0,-4], pos = 1 输出:true 解释:链表中有一个环,其尾部连接到第二个节点。 示例 2:

circularlinkedlist_test2.png

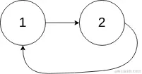
输入:head = [1,2], pos = 0 输出:true 解释:链表中有一个环,其尾部连接到第一个节点。 示例 3:

circularlinkedlist_test3.png

输入:head = [1], pos = -1 输出:false 解释:链表中没有环。  

提示:

链表中节点的数目范围是 [0, 10410^4]
1/1051/10^5 <= Node.val <= 10510^5
pos 为 -1 或者链表中的一个 有效索引 。

来源:力扣(LeetCode) 链接:leetcode-cn.com/problems/li… 著作权归领扣网络所有。商业转载请联系官方授权,非商业转载请注明出处。

解题思路:

数学思想:两个人A和B在操场跑步,速度不同,在起点同时起跑,如果速度快的A在未来某一时间与B相遇,说明两人跑的路线是个闭合的环形,如果未来某一天速度快的A跑到终点也未能再次与B相遇,说明两人跑的路线是非闭合的
解题方案:定义两个指针,初始均指向链表头地址,快指针每次移动两个位移量,慢指针每次移动一个位移量,如果存在指针指向null则结束循环返回false(链表非闭合),如果两个指针存在相等的时候,则说明链表为闭合链表

解题代码:

 * Definition for singly-linked list.
 * function ListNode(val) {
 *     this.val = val;
 *     this.next = null;
 * }
 */

/**
 * @param {ListNode} head
 * @return {boolean}
 */
var hasCycle = function(head) {
    if(!head) return false;//头地址为空==>非闭合链表

    let pre = head;//慢指针
    let cur = head;//快指针

    //循环结束条件:当指针指向空或下一个地址为空,说明链表非闭合
    while(cur && cur.next){

      pre=pre.next;//慢指针每次移动一个单位
      cur=cur.next.next;//快指针每次移动两个单位
      
      //如果存在“套圈”,即快慢指针再次相等,说明链表为闭合链表
      if(pre === cur){
        return true;
      };
    }
    return false;
};