[路飞][LeetCode]141_环形链表

157 阅读1分钟

看一百遍美女,美女也不一定是你的。但你刷一百遍算法,知识就是你的了~~

谁能九层台,不用累土起!

题目地址

题目

给你一个链表的头节点head,判断链表中是否有环。

如果链表中有某个节点,可以通过连续跟踪 next 指针再次到达,则链表中存在环。为了表示给定链表中的环,评测系统内部使用整数pos来表示链表尾连接到链表中的位置(索引从0开始)。如果pos是 -1,则在该链表中没有环。注意pos不作为参数进行传递,仅仅是为了标识链表的实际情况。

如果链表中存在环,则返回true。 否则,返回false

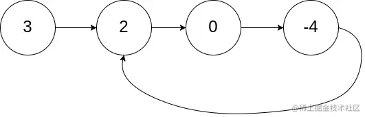
示例 1:

image.png

输入: head = [3,2,0,-4], pos = 1
输出: true
解释: 链表中有一个环,其尾部连接到第二个节点。

示例 2:

image.png

输入: head = [1,2], pos = 0
输出: true
解释: 链表中有一个环,其尾部连接到第一个节点。

示例 3:

image.png

输入: head = [1], pos = -1
输出: false
解释: 链表中没有环。

提示

  • 链表中节点的数目范围是 [0, 104]
  • -105 <= Node.val <= 105
  • pos 为 -1 或者链表中的一个有效索引 。

解题思路

1.gif

定义两个指针:慢指针每次走一个节点,快指针每次走两个节点,最终相遇。

解题代码

var hasCycle = function(head) {
    if(!head||!head.next) return false
    let slow = head
    let fast = head
    while(fast&&fast.next){
        slow=slow.next
        fast = fast.next.next
        if(fast==slow) return true
    }
    return false
};

如有任何问题或建议,欢迎留言讨论!