[路飞] 快乐数,反转列表II算法解析
一.快乐数解析
「快乐数」定义为:
对于一个正整数,每一次将该数替换为它每个位置上的数字的平方和。
然后重复这个过程直到这个数变为 1,也可能是 无限循环 但始终变不到 1。
如果 可以变为 1,那么这个数就是快乐数。
实例:
11 + 99 = 82
88 + 22 = 68
66 + 88 = 100
11 + 00 + 0*0 = 1
```
将计算过程排列就 19 82 68 100 1 null 可以将这个数字当做链表判环来处理,没有坏且等于1就是快乐数,因为如果有相等的节点就会陷入死循环,所以该处理逻辑就是链表判环逻辑.
代码实现过程
var getNext = function(x){
let z = 0;
当x时两位数时会执行联系平方相加,当x大于100时会三字相加每次x%10都是取个位数.
while(x){
z += (x % 10) * (x % 10);//
x = parseInt(x / 10);
}
return z;
}
var isHappy = function(n) {
//定义头结点p,定义头结点的下一个节点q,p每次走一步,q每次走两步
let p = getNext(n),q = getNext(getNext(n));
//当p不等于q说明该链表没有环,当q等于1时说明是快乐数.
while(p != q && q != 1){
p = getNext(p);
q = getNext(getNext(q));
}
return q == 1;
};
二.反转列表II
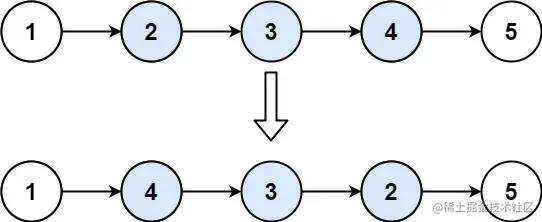
给你单链表的头指针 head 和两个整数 left 和 right ,其中 left <= right 。请你反转从位置 left 到位置 right 的链表节点,返回 反转后的链表 。
示例 1:
示例 1:

输入:head = [1,2,3,4,5], left = 2, right = 4
输出:[1,4,3,2,5]
示例 2:
输入:head = [5], left = 1, right = 1
输出:[5]
解析:上一篇文章介绍了第一种链表反转,这次的链表是反转链表一部分,因为假如我们从第一个节点开始反转,我们需要一个虚拟头结点,此时虚拟节点就是头结点为空的新节点,
var reverseBetween = function(head, left, right) {
if(!head || !head.next) return head;
//顶一个虚节点pre,从第一个节点开始判断,定义一个p = pre,
let pre = new ListNode(0,head),p = pre,cnt = right - left + 1;
//开始虚幻让不需要反转的前部分节点等于p,然后将剩下的节点通过方法反转,
while(-- left) p = p.next;
//此时p就是反转前的节点,reverseN(p.next,cnt)反转后的节点
p.next = reverseN(p.next,cnt);
return pre.next;
};
var reverseN = function(head,n){
if(!head || !head.next || n == 1) return head;
tail 头结点的下一个节点,
let tail = head.next,p = reverseN(head.next,n -1)
head.next = tail.next;
tail.next = head;
return p;
}