220 阅读8分钟

图的定义和术语

  • 1.图: 图G由顶点集V和关系集E组成,记为: G=(V,E), V是顶点(元素)的有穷非空集, E是两个顶点之间的关系的集合。
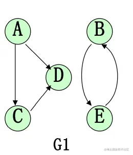
  • 2.有向图、弧(有向边):若图G任意两顶点a,b之间的关系为有 序对,∈E, 则称为从a到 b的一条弧/有向边; 其中: a是的弧尾, b是的弧头; 称该图G是有向图。 例 G1={V1,E1}, V1={A,B,C,D,E} E1={<A,C>,<A,D>,<C,D>,<B,E>,<E,B>}

image.png

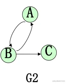
  • 3. 无向图、边(无向边): 若图G的任意两顶点a,b之间的关系为 无序对(a,b), 则称(a,b)为无向边(边), 称该图G是无向图。 无向图可简称为图。 (a,b)依附于a和b, (a,b)与a和b相关联 例 G2={V2,E2}, V2={1,2,3,4,5,6}, E2={(1,3),(1,5),(3,5),(4,6)}

image.png

  • 4. 完全图: 有n个顶点和n(n-1)/2条边的无向图 image.png
    1. 有向完全图: 有n个顶点和n(n-1)条弧的有向图。

image.png

  • 6. 网(Network): 边(弧)上加权(weight)的图。

image.png

  • 7. 子图: 对图 G=(V,E)和G' =(V' ,E'),若V'是V子集 且 E' 是E的子集, 则称G'是G的一个子图

image.png

  • 8. 度: 与顶点x相关联的边(x,y)的数目,称 为x的度, 记作TD(x) 或D(x), TD(1)=1 TD(2)=3 TD(3)=0

image.png

  • 9.出度: 以顶点x为弧尾的弧的数目, 称为x的 出度,记作OD(x)。 OD(A)=1 OD(B)=2 OD(C)=0

image.png

  • 10.入度: 以顶点x为弧头的弧的数目,称为x的 入度,记作ID(x)。 ID(A)=1 ID(B)=1 ID(C)=1 TD(A)=OD(A)+ID(A)=2 TD(B)=OD(B)+ID(B)=3 image.png
  • 11.连通图及连通分量: (无向图G) Ø 若从顶点vi到vj有路径,则称vi和vj是连通的。

Ø 若图G中任意两顶点是连通的,则称G是连通图。 image.png

若图G'是G的一个极大连通子图,则称G'是G的一个连通分量 image.png

  • 12.强连通图及强连通分量: (有向图G) Ø 若在图G中,每对顶点vi和vj之间, 从vi到vj,且从 vj到vi 都存在路径,则称G是强连通图。

Ø 若图G'是G的一个极大强连通子图,则称G'是G的一个强连通分量。(强连通图的强连通分量是自身)

image.png

  • 13.生成树: 设G=(V,E),G' =(V' ,E'),V=V' ,若G是连通图,G'是G的一个极小连通子图, 则G'是G的一棵生成树。

image.png

图的存储结构

数组表示法/邻接矩阵(顺序+顺序)

顶点数组---用一维数组存储顶点(元素) 邻接矩阵---用二维数组存储顶点(元素)之间的关系(边 或弧)

无向图 image.png

有向图 image.png

image.png

邻接表、逆邻接表(顺序+链式)

(1) 无向图的邻接表 : 为图G的每个顶点建立一个单链表,第i个单链 表中的结点表示依附于顶点vi的边。 image.png 若无向图G有n个顶点和e条边,需n个表头结点和2e个表结点。 Ø 无向图G的邻接表,顶点vi的度为第i个单链表的长度。

(2)有向图的邻接表 : 第i个单链表中的表结点,表示以顶点vi为尾的弧 (vi,vj)的弧头。

image.png

  1. 若有向图G有n个顶点和e条弧,则需n个表头结点和e个表结点。
  2. 有向图G的邻接表,顶点vi的出度为第i个单链表的长度。
  3. 求顶点vi的入度需遍历全部单链表,统计结点值为i的结点数

(3)有向网的邻接表

image.png

(4)有向图的逆邻接表 第i个单链表中的表结点,表示以顶点vi为尾的弧 (vi,vj)的弧头。 image.png

  1. 若有向图G有n个顶点e条弧,则需n个表头结点和e个表结点。
  2. 有向图G的逆邻接表,顶点vi的入度为第i个单链表的长度。
  3. 求顶点vi的出度需遍历全部单链表,统计结点值为i的结点数。

有向图的十字链表

将邻接表和逆邻接表合并而成的链接表。 image.png

邻接多重表

(无向图的)的另一种链式存储结构

(1)图的一个顶点用一个“头结点”表示, 其中: data域 存储和该顶点相关的信息, firstedge域 存储第一条依附于该顶点的边。 image.png

(2)图的一条边或弧用一个“结点”表示。

其中: mark----标志域,可用以标记该条边是否被搜索过; vi和vj----该条边依附的两个顶点在图中的位置; vilink----指向下一条依附于顶点vi的边; vjlink----指向下一条依附于顶点vj的边。 避免了无向图邻接表的一条边用两个结点。 image.png

image.png

图的遍历

从图G的某定点vi出发,访问G的每个顶点一次且一次的过程。

image.png

image.png

image.png

image.png

image.png

image.png

网的最小生成树

在网G的各生成树中,其中各边的权之和最小的生 成树称为G的最小生成树

image.png MST性质: 设G=(V,E)是一个连通网,U是V的一个非空子集。 如果边(u,v)是G中所有一端在U中(即u∈U)而另一端在 V-U中(即v∈V-U)具有最小值的一条边,则存在一棵包 含边(u,v)的最小生成树。

image.png

普里姆(prim)算法 以选顶点为主

对n个顶点的连通网,初始时, T=(U,TE),U为一 个开始顶点,TE=φ,以后根据MST性质,每次增加一个顶 点和一条边,重复n-1次。U不断增大,V-U不断减小 直到为空。

image.png

image.png

image.png image.png image.png image.png image.png image.png

image.png

克鲁斯卡尔(Kruskai)算法,以选边为主

image.png image.png

管梅谷破圈法

image.png

image.png

有向无环图及其应用

一个无环的有向图称为有向无环图(directed acycline graph), 简称DAG图

拓扑排序

image.png

image.png

  • 拓扑排序算法思想:重复下列操作,直到所有顶点输出完。
  • (1)在有向图中选一个没有前驱的顶点输出(选择入度为0的顶点);
  • (2)从图中删除该顶点和所有以它为尾的弧(修改其它顶点入度) 。

image.png 有回路的有向图不存在拓扑排序

image.png

关键路径

AOE网(Activity On Edge): 是一个带权的有向无环图,其中以顶点表示事件,弧表示活 动,权表示活动持续的时间。 当AOE网用来估算工程的完成时间时,只有一个开始点(入 度为0,称为源点)和一个完成点(出度为0,称为汇点)

image.png AOE网研究的问题: (1) 完成整项工程至少需要多少时间; (2) 哪些活动是影响工程进度的关键。 在AOE网中,部分活动可并行进行,所以完成工程 的最短时间是从开始点到完成点的最长路径长度。路径 长度最长的路径称为关键路径(Critical Path)

(顶点)事件vi的最早发生时间ve(i): 从开始点到vi的最长路径长度。(ve(v1)=0) 既表示事件vi的最早发生时间,也表示所有以vi为尾的 弧所表示的活动ak的最早发生时间e(k)。(如下例的a7,a8)

  • 仅有一个前驱顶点:
  • ve(v2)=ve(v1)+6=0+6=6
  • ve(v3)=ve(v1)+4=0+6=4
  • ve(v4)=ve(v1)+6=0+5=5 有多个前驱顶点: ve(v5)=max{ve(前驱顶点)+ 前驱活动时间} =max{6+1,4+1,5+5}=10 完成点(汇点)的ve(vn)为工程完成所需要的时间。

image.png image.png

关键路径算法步骤

  • (1)从开始点v1出发,令ve(1)=0,按拓朴排序序列求其它各 顶点的最早发生时间 Ve(k)=max{ve(j)+dut()} (vj为以顶点vk为弧头的所有弧的弧尾 对应的顶点集合)
  • (2)从完成点vn出发,令vl(n)=ve(n),按逆拓朴排序序列求 其它各顶点的最迟发生时间 Vl(j)=min{vl(k)-dut()} (vk为以顶点vj为弧尾的所有弧的弧头 对应的顶点集合
  • (3)求每一项活动ai(vj,vk): e(i)=ve(j) l(i)=vl(k)-dut(ai)

image.png

image.png

最短路径

  • 算法1(Dijkstra算法): 以每一个顶点为源点,重复执行Dijkstra算法n次, 即可求出每一对顶点之间的最短路径。

image.png 假设S为已求得最短路径的终点的集合,则可证明:下一条最短路径(设其终点为X)或者是弧(v,x),或者是中间只经过S中的顶点而最后到达顶点X的路径。这个可以用反证法证明,假设此路径上有一个顶点不在S中,则说明存在一条终点不在S中而长度比此路径短的路径。但是这是不可能的。因为我们按长度递增的顺序来产生各最短路径,所以长度比此路径还短的所有路径均已产生,他们的终点一定在S中。故假设不成立

因此,下一条长度次短的最短路径的长度必是D[j]=Min{D[i] | vi∈V-S}    其中,D[i]或者是弧(v,vi)上的权值,或者是Dk和弧(vk,vi)上的权值之和

qq_pic_merged_1638970486072.jpg

  • 算法2(Floyd算法): 算法思想: 假设求Vi到Vj的最短路径,如果从Vi到Vj有弧,则存在 一条长度为arcs[i][j]的路径,该路径不一定是最短路径, 尚需进行n次试探