[路飞]_leetcode-112-路径总和

384 阅读2分钟

[题目地址] [B站地址]

给你二叉树的根节点 root 和一个表示目标和的整数 targetSum 。判断该树中是否存在 根节点到叶子节点 的路径,这条路径上所有节点值相加等于目标和 targetSum 。如果存在,返回 true ;否则,返回 false 。

叶子节点 是指没有子节点的节点。

示例 1:

输入: root = [5,4,8,11,null,13,4,7,2,null,null,null,1], targetSum = 22
输出: true
解释: 等于目标和的根节点到叶节点路径如上图所示。

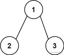
示例 2:

输入: root = [1,2,3], targetSum = 5
输出: false
解释: 树中存在两条根节点到叶子节点的路径:
(1 --> 2): 和为 3
(1 --> 3): 和为 4
不存在 sum = 5 的根节点到叶子节点的路径。

示例 3:

输入: root = [], targetSum = 0
输出: false
解释: 由于树是空的,所以不存在根节点到叶子节点的路径。

提示:

  • 树中节点的数目在范围 [0, 5000] 内
  • -1000 <= Node.val <= 1000
  • -1000 <= targetSum <= 1000

本题要求得是否有一条路径上所有节点的和值等于目标和值

所以需要求得输入二叉树所有从根节点到叶子节点的路径和值,那求得每条路径和和值,这里可以通过递归来实现

递归函数的作用如下:

  1. 累加传入和值 sum 和当前节点的 val
  2. 如果当前节点为叶子节点,返回 sum===targetSum 的结果
  3. 否则如果左子树不为空,递归处理左子树,如果右子树不为空,递归处理右子树
  4. 最后如果有一条路径符合条件,则返回 true,否则返回 false

动画演示如下:

leetcode-112-路径总和.gif 代码如下:

var hasPathSum = function(root, targetSum) {
  // 特殊判断
  if(root === null) return false;
  // 获取路径上节点值的和值
  function getSum(root,sum){
    // 累计路径节点和值
    sum += root.val;
    // 如果当前为叶子节点 返回当前路径和值是否等于目标和值
    if(!root.left&&!root.right) return sum===targetSum;
    // 否则递归1求解左右子树路径和值是否等于目标和值
    let left = false,right = false;
    if(root.left){
      left = getSum(root.left,sum);
    }
    if(root.right){
      right = getSum(root.right,sum);
    }
    return left || right;
  }
  // 返回结果
  return getSum(root,0);
};

至此我们就完成了 leetcode-112-路径总和

如有任何问题或建议,欢迎留言讨论!