树和二叉树

348 阅读8分钟

树的定义

定义和术语

  1. 树(tree): 树是n(n≥0)个结点的有限集T,
  • 当n=0时,T为空树;
  • 当n>0时,
  • (1)有且仅有一个称为T的根的结点,
  • (2)当n>1时,余下的结点分为m(m>0)个互不相交的有 限集T1,T2,...,Tm ,每个Ti(1≤i≤m)也是一棵树,且称为 根的子树

image.png

image.png

  • 2.结点的度(degree): 结点的子树数目
  • 3.树的度: 树中各结点的度的最大值
  • 4.n度树: 度为n的树
  • 5.叶子(终端结点): 度为0的结点
  • 6.分枝结点(非终端结点,非叶子): 度不为0的结点
  • 7.双亲(父母,parent)和孩子(儿子,child) : 若结点C是结点P的子树的根,称P是C的双 亲,C是P的孩子。
  • 8.结点的层(level): 规定树T的根的层为1,其余任一结点的 层等于其双亲的层加1
  • 9.树的深度(depth,高度): 树中各结点的层的最大值
  • 10.兄弟(sibling): 同一双亲的结点之间互为兄弟。
  • 11.堂兄弟: 同一层号的结点互为堂兄弟
  • 12.祖先: 从树的根到某结点所经分枝上的所有结点为该 结点的祖先。
  • 13.子孙: 一个结点的所有子树的结点为该结点的子孙。
  • 14.有序树:若任一结点的各棵子树,规定从左至右是有次 序的,即不能互换位置,则称该树为有序树。
  • 15.无序树: 若任一结点的各棵子树,规定从左至右是无 次序的,即能互换位置,则称该树为无序树。
  • 16.森林: m(m≥0)棵互不相交的树的集合。

树的其它表示形式

  • 1.广义表 树T的广义表=(T的根(T1,T2,...,Tm)) 其中Ti是T的子树,也是广义表。 (1≤i≤m)

image.png

  • 2.嵌套集合: image.png
  • 3.凹入表/目录表 image.png

二叉树

定义和术语

    1. 二叉树的递归定义 二叉树是有限个结点的集合,它或者为空集;或者是 由一个根结点和两棵互不相交的,且分别称为根的左子树 和右子树的二叉树所组成。 若二叉树为空集,则为空二叉树。
  • 2.二叉树的5种基本形态

image.png

  • 3.二叉树与2度树的区别 1、度不同

  • 度为2的树要求每个节点最多只能有两棵子树,并且至少有一个节点有两棵子树

  • 二叉树的要求是度不超过2,节点最多有两个叉,可以是1或者0

在任意一棵二叉树中,叶子结点总是比度为2的结点多一个。

2、分支不同

  • 度为2的树有两个分支,但分支没有左右之分;
  • 一棵二叉树也有两个分支,但有左右之分,左右子树的次序不能随意颠倒。

3、次序不同

度为2的树从形式上看与二叉树很相似,但它的子树是无序的,而二叉树是有序的。即,在一般树中若某结点只有一个孩子,就无需区分其左右次序,而在二叉树中即使是一个孩子也有左右之分。

  • 4.三个结点不同形态的二叉树(5种)

image.png

  • 5.三个结点不同形态的树(2种)

image.png

二叉树的性质和特殊二叉树

1.二叉树的第i(i≥1)层最多有2^i - 1个结点(性质1) image.png 2.深度为k的二叉树最多有2^k - 1个结点(性质2)

image.png

3.叶子的数目=度为2的结点数目+1(性质3) n0 = n2 + 1 image.png 二叉树中,有多少个空指针? n个结点,2n个指针 除根结点外,都需要一个指针链接,用了n-个指针 因此:空指针m=2n-(n-1)=n+1

满二叉树(full binary tree)

---- 深度为k且有2 k-1个结点的二叉树

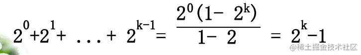
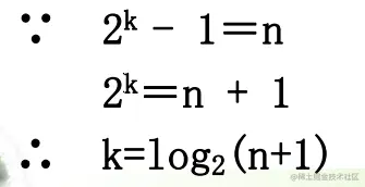
image.png (1) n个结点的满二叉树的深度=log2(n+1)(性质4) 设深度为k image.png

(2)顺序编号的满二叉树(性质5) image.png

完全二叉树(full binary tree)

深度为k的有n个结点的二叉树,当且仅当每一个结点 都与同深度的满二叉树中编号从1至n的结点一一对应,称 之为完全二叉树(其它教材称为“顺序二叉树”)。 image.png

image.png

二叉树的存储结构

1.顺序结构

(1) n个结点的完全二叉树,使用一维数组 image.png (2) 一般二叉树 image.png (3)右单枝树 image.png

2.链式存储结构

image.png

image.png

image.png

二叉树的遍历

前中后序遍历二叉树是十分重要的,这一块一定要多加理解,因为对各个节点进行操作相当于通常是使用某一种顺序遍历,而这顺序通常是前中后序中的某一种

前中后序遍历二叉树,理解递归思想后由于比较简单,后续有时间在补充,这里先介绍中序遍历非递归的解决方法

非递归算法思想: 设置一个栈S存放所经过的根结点(指针)信息;

  • (1)设置一个栈S存放所经过的根结点(指针)信息;初 始化S;
  • (2)第一次访问到根结点并不访问,而是入栈;
  • (3)中序遍历它的左子树,左子树遍历结束后,第二次 遇到根结点,就将根结点(指针)退栈,并且访问根结 点;然后(中序)遍历它的右子树。
  • (4) 当需要退栈时,如果栈为空则结束 ps:个人感觉用了栈操作其实和递归差不多同一个思想了 image.png image.png image.png image.png

树的存储结构

1.双亲表示法/数组表示法/顺序表示法

结构体数组中结构体有个值专门用来存储双亲节点 image.png

2.孩子表示法/链接表表示法

(1)固定大小的结点格式,设树T的度为n image.png (2)非固定大小的结点格式 image.png

3.孩子兄弟表示法/二叉树表示法/二叉链表

image.png

4.孩子链表表示法/单链表表示法

image.png

5.带双亲的孩子链表表示法

image.png

树与二叉树的转换

1.在兄弟之间加连线 2.保留根与最左孩之间的连线 删除与其它孩子之间的连线 3.以根为轴心顺时针 方向旋转45度 image.png

image.png

image.png

线索二叉树

  1. 遍历二叉树是按某种规则将非线性结构的二叉树结点 线性化。
  2. 二叉树结点中没有相应前驱和后继的信息。每次遍历 时需按规则动态产生。
  3. n个结点的二叉树,有: n*2 个指针域
  4. 使用: n-1 个指针,除根以外,每个结点被一个指针 指向空指针域,空指针域数: n*2-(n-1)=n+1
  5. 当对某二叉树经常按某种规则遍历访问时,可利用空指 针域。 n 将空的左指针域指向直接前驱,空的右指针域指向直 接后继,非空指针不需要改变。称该处理过程称为二 叉树线索化。
  6. 由此可分别得到: 前序线索二叉树,中序线索二叉树, 后序线索二叉树

三种线索二叉树

1.先序线索二叉树: 线索指向先序遍历中前趋、后继的线索二叉树 image.png 2.中序线索二叉树: 线索指向中序遍历中前趋、后继的线索二叉树。 image.png 3.后序线索二叉树: 线索指向后序遍历中前趋、后继的线索二叉树。 image.png

线索二叉树的存储结构

image.png

image.png

线索二叉树的遍历

(1)先序线索二叉树的遍历 image.png (2)中序线索二叉树的遍历: image.png

哈夫曼(Huffman)树

  • 1.路径长度: 路径上分枝的数目(连线的数目)
  • 2.树T的路径长度: 从树T的根到其余每个结点的路径 长度之和,记作PL(T) image.png 当n个结点的二叉树为完全二叉树时,PL(T)具有最小值 image.png 当n个结点的二叉树为单枝树时,PL(T)具有最大值 PL(T)=0+1+2+...+(n-1) = n(n-1)/2
    1. 树T的带权路径长度: 每个叶子的权与根到该叶 子的路径长度的乘积之和,记作WPL(T) image.png
  • 4.哈夫曼树/最佳树/最优树的概念 在具有n个相同权值叶子的各二叉树中,WPL(T)最小 的二叉树 image.png
  • 5.哈夫曼算法 image.png

image.png 哈夫曼树的构建

  1. 创建容量为2n-1的静态数组元素为节点
  2. 对数组所有2n-1个元素(节点)进行初始化,并对前n个叶子节点赋予权值,后n-1个节点为空
  3. 查找数组中权值不为零且无双亲节点,选择其中权值最小的两个节点
  4. 对上一步获得的两个节点进行合并,生成新的节点
  5. 上一步参与合并的两个节点不再参与后续合并(设置parent指向新节点),新生成的节点存到数组下一个空位置,空位置索引向后移动一位
  6. 重复3、4、5共n-1次,最后一次获得的节点即为哈夫曼树的根节点 代码实现以后有时间实现一下
  • 6.最小冗余码/哈夫曼码 能按字符的使用频度,使文本代码的总长度具有最小值

image.png

image.png

image.png 如何译码?

image.png