「LeetCode」剑指Offer-07重建二叉树⚡️

556 阅读2分钟

大家好,我是速冻鱼🐟,一条水系前端💦,喜欢花里胡哨💐,持续沙雕🌲
欢迎小伙伴们加我微信:sudongyuer拉你进群,一起讨论,期待与大家共同成长🥂

前言🌧️

算法,对前端人来说陌生又熟悉,很多时候我们都不会像后端工程师一样重视这项能力。但事实上,算法对每一个程序员来说,都有着不可撼动的地位。

因为开发的过程就是把实际问题转换成计算机可识别的指令,也就是《数据结构》里说的,「设计出数据结构,在施加以算法就行了」。

当然,学习也是有侧重点的,作为前端我们不需要像后端开发一样对算法全盘掌握,有些比较偏、不实用的类型和解法,只要稍做了解即可。

题目🦀

剑指 Offer 07. 重建二叉树

难度中等

输入某二叉树的前序遍历和中序遍历的结果,请构建该二叉树并返回其根节点。

假设输入的前序遍历和中序遍历的结果中都不含重复的数字。

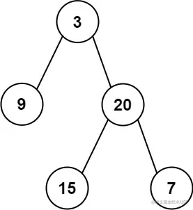
示例 1:

img

Input: preorder = [3,9,20,15,7], inorder = [9,3,15,20,7]
Output: [3,9,20,null,null,15,7]

示例 2:

Input: preorder = [-1], inorder = [-1]
Output: [-1]

限制:

0 <= 节点个数 <= 5000

解题思路🌵

  • 采用分而治之的思想
  • 根据前序遍历的首个节点确定根节点,在根据根节点在中序遍历中的位置,确定左右子树的个数,然后分别确定在中序遍历和前序遍历中的左右子树。
  • 然后再对左右子树进行上述步骤

心得体会❤️

  • 一定要多画图
  • 一定要多画图
  • 一定要多画图

源码🔥

/**
 * Definition for a binary tree node.
 * function TreeNode(val) {
 *     this.val = val;
 *     this.left = this.right = null;
 * }
 */
/**
 * @param {number[]} preorder
 * @param {number[]} inorder
 * @return {TreeNode}
 */
var buildTree = function (preorder, inorder) {

    if(preorder.length===0){return null}

     const cur=new TreeNode(preorder[0])
     //拿到根节点在前序遍历中的索引
     const index=inorder.indexOf(cur.val)

     //根据索引在中序遍历中分割左右子树
     const preorderLeft=preorder.slice(1,index+1)


    //根据索引在中序遍历中分割左右子树
     const preorderRight=preorder.slice(index+1)    


    //根据索引在中序遍历中分割左右子树
     const inorderLeft=inorder.slice(0,index)
    //根据索引在中序遍历中分割左右子树
     const inorderRight=inorder.slice(index+1)  

     //构建左子树
     cur.left=buildTree(preorderLeft,inorderLeft)
     //构建右子树
     cur.right=buildTree(preorderRight,inorderRight)
     return cur
};

时间复杂度:O(n)

空间复杂度:O(n)

结束语🌞

那么鱼鱼的LeetCode算法篇的「LeetCode」剑指Offer-07重建二叉树⚡️就结束了,算法这个东西没有捷径,只能多写多练,多总结,文章的目的其实很简单,就是督促自己去完成算法练习并总结和输出,菜不菜不重要,但是热爱🔥,喜欢大家能够喜欢我的短文,也希望通过文章认识更多志同道合的朋友,如果你也喜欢折腾,欢迎加我好友,一起沙雕,一起进步

github🤖:sudongyu

个人博客👨‍💻:速冻鱼blog

vx👦:sudongyuer

写在最后

伙伴们,如果喜欢我的口水话给🐟🐟点一个赞👍或者关注➕都是对我最大的支持。

加我微信:sudongyuer,邀你进群,一起学习前端,成为更优秀的工程师~(群二维码在这里->前端要早睡, 二维码过期了的话看链接沸点中的评论,我会把最新的二维码放在评论区,当然也可以加我微信我拉你进群,毕竟我也是有趣的前端,认识我也不赖🌟~
ps:公司最近在招聘前端,欢迎小伙伴咨询,坐标成都,我的vx:sudongyuer,或者直接投递邮箱[hr@haiyao.io]