[路飞]_前端算法第四十五弹-面试题 02.08. 环路检测

284 阅读3分钟

给定一个链表,如果它是有环链表,实现一个算法返回环路的开头节点。若环不存在,请返回 null

如果链表中有某个节点,可以通过连续跟踪 next 指针再次到达,则链表中存在环。 为了表示给定链表中的环,我们使用整数 pos 来表示链表尾连接到链表中的位置(索引从 0 开始)。 如果 pos-1,则在该链表中没有环。注意:pos 不作为参数进行传递,仅仅是为了标识链表的实际情况。

示例 1:

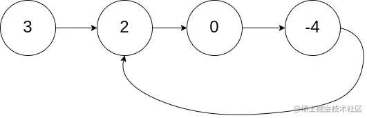
输入:head = [3,2,0,-4], pos = 1
输出:tail connects to node index 1
解释:链表中有一个环,其尾部连接到第二个节点。。

示例 2:

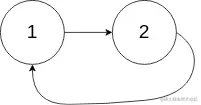
输入:head = [1,2], pos = 0
输出:tail connects to node index 0
解释:链表中有一个环,其尾部连接到第一个节点。

示例 3:

输入:head = [1], pos = -1
输出:no cycle
解释:链表中没有环。

进阶:

  • 你是否可以不用额外空间解决此题?

哈希表

一个非常直观的思路是:我们遍历链表中的每个节点,并将它记录下来;一旦遇到了此前遍历过的节点,就可以判定链表中存在环。借助哈希表可以很方便地实现。

var detectCycle = function(head) {
    const visited = new Set();
    while (head !== null) {
        if (visited.has(head)) {
            return head;
        }
        visited.add(head);
        head = head.next;
    }
    return null;
};

复杂度分析

  • 时间复杂度:O(N),其中 N 为链表中节点的数目。我们恰好需要访问链表中的每一个节点。
  • 空间复杂度:O(N),其中 N 为链表中节点的数目。我们需要将链表中的每个节点都保存在哈希表当中。

快慢指针

我们使用两个指针,fast 与 slow。它们起始都位于链表的头部。随后,slow 指针每次向后移动一个位置,而 fast 指针向后移动两个位置。如果链表中存在环,则 fast 指针最终将再次与 slow 指针在环中相遇。

设链表中环外部分的长度为 a。slow 指针进入环后,又走了 b 的距离与 fast 相遇。此时,fast 指针已经走完了环的 n 圈,因此它走过的总距离为 a+n(b+c)+b=a+(n+1)b+nca+n(b+c)+b=a+(n+1)b+nc

根据题意,任意时刻,fast 指针走过的距离都为 slow 指针的 2 倍。因此,我们有

a+(n+1)b+nc=2(a+b)a=c+(n1)(b+c)a+(n+1)b+nc=2(a+b)⟹a=c+(n−1)(b+c)

有了 a=c+(n1)(b+c)a=c+(n−1)(b+c) 的等量关系,我们会发现:从相遇点到入环点的距离加上 n1n−1 圈的环长,恰好等于从链表头部到入环点的距离。

(n1)(b+c)(n−1)(b+c)表示绕了 n1n−1 圈,相当于移动距离为0没动。所以a=ca=c

var detectCycle = function (head) {
    if (!head || !head.next) return null;
    let fast = head;
    let slow = head;
    while (fast && fast.next) {
        fast = fast.next.next;
        slow = slow.next
        if (fast == slow) break
    }
    if (!fast||!fast.next) return null;
    let pre = head;
    while (pre != slow) {
        pre = pre.next;
        slow = slow.next
    }
    return pre
};

复杂度分析

  • 时间复杂度:O(N),其中 N 为链表中节点的数目。在最初判断快慢指针是否相遇时,slow\textit{slow}slow 指针走过的距离不会超过链表的总长度;随后寻找入环点时,走过的距离也不会超过链表的总长度。因此,总的执行时间为 O(N)+O(N)=O(N)O(N)+O(N)=O(N)
  • 空间复杂度:O(1)。我们只使用了 slow, fast 两个指针。