自研规则引擎 -ice 简介

1,582 阅读10分钟

视频地址: www.bilibili.com/video/BV1hg…

官方文档: waitmoon.com/docs/zh/

1 背景介绍

业务中是否写了大量的 if-else?是否受够了这些 if-else 还要经常变动? 业务中是否做了大量抽象,发现新的业务场景还是用不上? 是否各种调研规则引擎,发现不是太重就是接入或维护太麻烦,最后发现还是不如硬编码? 接下来给大家介绍一款全新的开源规则引擎——ice,以一个简单的例子,从最底层的编排思想,阐述 ice 与其他规则引擎的不同;讲述 ice 是如何使用全新的设计思想,契合解耦和复用的属性,还你最大的编排自由度。

1.1 场景

会员营销: 由多种条件,流程,奖励组合而成,时间线复杂,代码复用率不高,调整频繁

风控规则: 由多种条件组合并返回决策,条件量大且复杂,变动频繁

数据分析: 将数据通过分析师自己编排的规则产出想要的数据,千人千面

......

以上场景往往都有一些共性:

灵活业务

追求灵活花里胡哨: 产品和运营一直在探索新鲜玩法,导致很多抽象出来的模块往往抗不过两个迭代

今天上线又要调整: 因为一些偶发情况,如线上用户参与度不高,及时调整用户参与门槛等(当然也可以在开发前把所有情况考虑到位,但是为了小概率事件做大量的工作,成本过高)

研发测试心力交瘁: 研发硬编码,测试测复杂重复逻辑,久而久之变的愈发疲惫

时间线

研发编排错了再来: 一般营销类型的会涉及很多时间线,而在当前,测试一个未来要上线的具有不同时间节点属性的活动,硬编码时往往由研发编排时间,测试进行测试,但是当bug发生并打乱时间线时,就需要重新编排时间(没有经历过的不用太了解,后面会说)

测试并行孔融让梨: 当时间线发生冲突并有多个测试在冲突位置上并发测试,往往由测试自行协调测试顺序,当一方出现问题往往导致后续测试进度不可控

其他问题

依赖挂了难以为继: 测试环境为非稳定环境,一旦依赖出了问题难免影响进度,如何能做到简单高效mock?

修复数据苦不堪言: 当线上问题产生时,受影响的客户如何快速高效的补偿?

......

2 设计思路

为了方便理解,设计思路将伴随着一个简单的充值例子展开

2.1 举例

X公司将在国庆放假期间,开展一个为期七天的充值小活动,活动内容如下:

活动时间:(10.1-10.7)

活动内容:

充值100元 送5元余额 (10.1-10.7)

充值50元   送10积分 (10.5-10.7)

活动备注:不叠加送(充值100元只能获得5元余额,不会叠加赠送10积分)

简单拆解一下,想要完成这个活动,我们需要开发如下模块:

图中发现有待发放key,这个key是从哪里来呢:

如图,当用户充值成功后,会产生对应充值场景的参数包裹Pack(类Activiti/Drools的Fact),包裹里会有充值用户的uid,充值金额spend,充值的时间requestTime等信息。我们可以通过定义的key,拿到包裹中的值(类似map.get(key))

模块怎么设计无可厚非,重点要讲的是后面的怎么编排实现配置自由,接下来将通过已有的上述节点,讲解不同的规则引擎在核心的编排上的优缺点,并比较ice是怎么做的。

2.2 流程图式实现

类Activiti、 Flowable实现

流程图式实现,应该是我们最常想到的编排方式了~ 看起来非常的简洁易懂,通过特殊的设计,如去掉一些不必要的线,可以把UI做的更简洁一些。但由于有时间属性,其实时间也是一个规则条件,加上之后就变成了:

看起来也还好

2.3 执行树式实现

类Drools实现(When X Then Y)

这个看起来也还好,再加上时间线试试:

依旧比较简洁,至少比较流程图式,我会比较愿意修改这个。

2.4 变动

上面两种方案的优点在于,可以把一些零散的配置结合业务很好的管理了起来,对配置的小修小改,都是信手拈来,但是真实的业务场景,可能还是要锤爆你,有了灵活的变动,一切都不一样了。

2.4.1 理想

不会变的,放心吧,就这样,上

2.4.2 现实

①充值100元改成80吧,10积分变20积分吧,时间改成10.8号结束吧(微微一笑,毕竟我费了这么大劲,终于提现到价值了!)

②用户参与积极性不高啊,去掉不叠加送吧,都送(稍加思索,费几个脑细胞挪一挪还是可以的,怎么也比改代码再上线强吧!)

③5元余额不能送太多,设置个库存100个吧,对了,库存不足了充100元还是得送10积分的哈(**卒…**早知道还不如硬编码了)

以上变动其实并非看起来不切实际,毕竟小编我遇到的变动比这离谱的多的是,上述实现的主要缺点在于,牵一发而动全身,如果考虑不到位,很容易被反噬,而且这还只是一个简单的例子,现实的活动内容要比这复杂的多的多,时间线也是很多条,考虑到这,再加上使用学习框架的成本,往往得不偿失。

怎么办?

2.5 ice是怎么做的?

2.5.1 引入关系节点

关系节点为了控制业务流转

AND

所有子节点中,有一个返回false 该节点也将是false,全部是true才是true,在执行到false的地方终止执行,类似于Java的&&

ANY

所有子节点中,有一个返回true 该节点也将是true,全部false则false,在执行到true的地方终止执行,类似于Java的||

ALL

所有子节点都会执行,有任意一个返回true该节点也是true,没有true有一个节点是false则false,没有true也没有false则返回none,所有子节点执行完毕终止

NONE

所有子节点都会执行,无论子节点返回什么,都返回none

TRUE

所有子节点都会执行,无论子节点返回什么,都返回true,没有子节点也返回true(其他没有子节点返回none)

2.5.2 引入叶子节点

叶子节点为真正处理的节点

Flow

一些条件与规则节点,如例子中的ScoreFlow

Result

一些结果性质的节点,如例子中的AmountResult,PointResult

None

一些不干预流程的动作,如装配工作等,如下文会介绍到的TimeChangeNone

有了以上节点,我们要怎么组装呢?

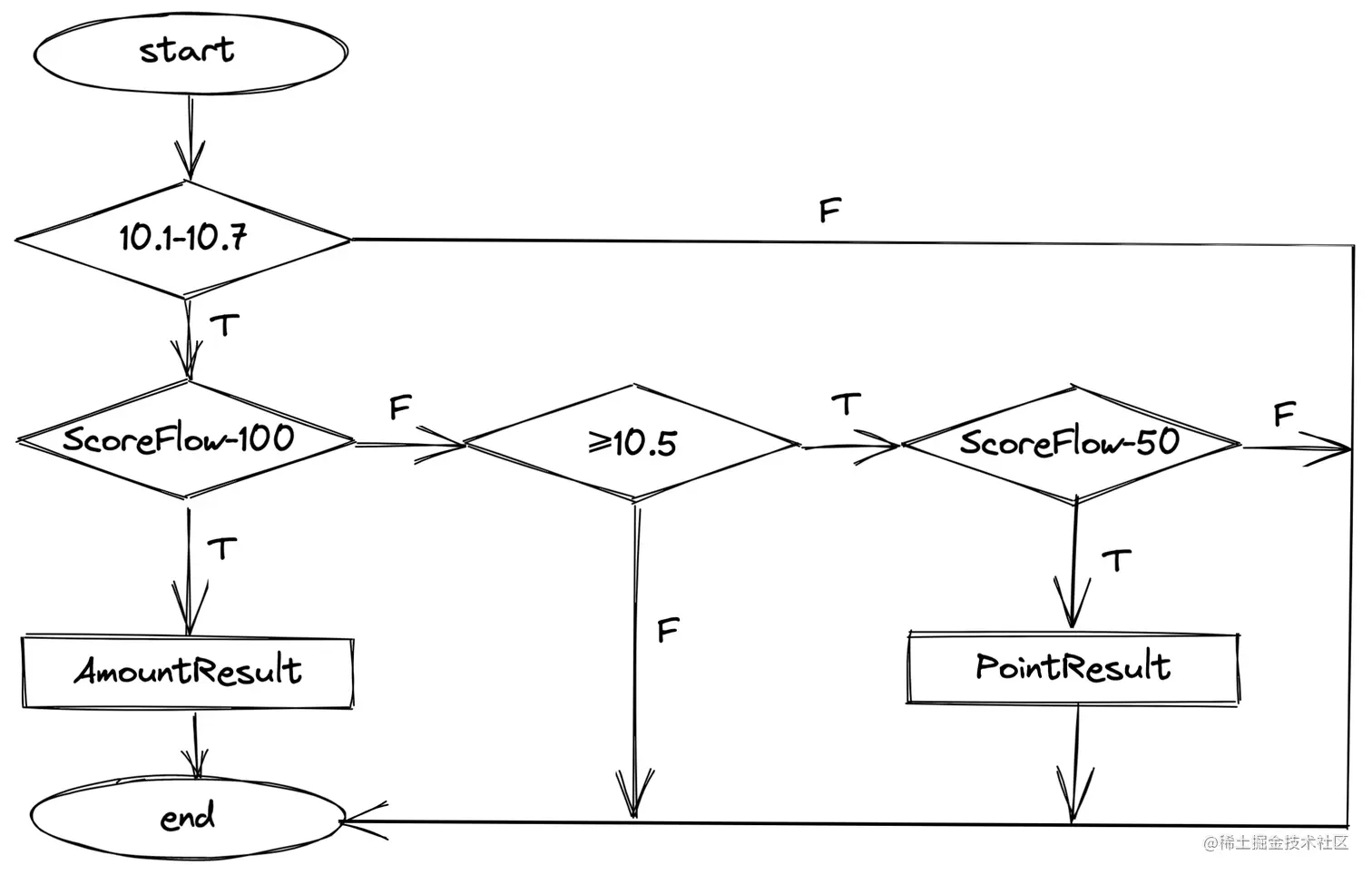
如图,使用树形结构(对传统树做了镜像和旋转),执行顺序还是类似于中序遍历,从root执行,root是个关系节点,从上到下执行子节点,若用户充值金额是70元,执行流程:

ScoreFlow-100:false

AND:false

ScoreFlow-50:true

PointResult:true

AND:true

ANY:true

这个时候可以看到,之前需要剥离出的时间,已经可以融合到各个节点上了,把时间配置还给节点,如果没到执行时间,如发放积分的节点10.5日之后才生效,那么在10.5之前,可以理解为这条调用链不存在(可以理解为这个节点还没有上班,父节点不上班,绑在此父节点下面的逻辑也都不上班)

2.5.2 变动与问题的解决

对于①直接修改节点配置就可以

对于②直接把root节点的ANY改成ALL就可以(叠加送与不叠加送的逻辑在这个节点上,属于这个节点的逻辑就该由这个节点去解决)

对于③由于库存的不足,相当于没有给用户发放,则AmountResult返回false,流程还会继续向下执行,不用做任何更改

再加一个棘手的问题,当时间线复杂时,测试工作以及测试并发要怎么做?

一个10.1开始的活动,一定是在10.1之前开发上线完毕,比如我在9.15要怎么去测试一个10.1开始的活动?在ice中,只需要稍微修改一下:

如图,引入一个负责更改时间的节点TimeChangeNone(更改包裹中的requestTime),后面的节点执行都是依赖于包裹中的时间即可,TimeChangeNone类似于一个改时间的插件一样,如果测试并行,那就给多个测试每人在自己负责的业务上加上改时间插件即可。

2.5.3 特性

为什么这么拆解呢?为什么这样就能解决这些变动与问题呢?

其实,就是解耦,流程图式和执行树式实现在改动逻辑的时候,不免需要瞻前顾后,但是ice不需要,ice的业务逻辑都在本节点上,每一个节点都可以代表单一逻辑,比如我改不叠加送变成叠加送这一逻辑就只限制在那个ANY节点逻辑上,只要把它改成我想要的逻辑即可,至于子节点有哪些,不用特别在意,节点之间依赖包裹流转,每个节点执行完的后续流程不需要自己指定。

因为自己执行完后的执行流程不再由自己掌控,就可以做到复用:

如图,参与活动这里用到的TimeChangeNone,如果现在还有个H5页面需要做呈现,不同的呈现也与时间相关,怎么办?只需要在呈现活动这里使用同一个实例,更改其中一个,另一个也会被更新,避免了到处改时间的问题。

同理,如果线上出了问题,比如sendAmount接口挂了,由于是error不会反回false继续执行,而是提供了可选策略,比如将Pack以及执行到了哪个节点落盘起来,等到接口修复,再继续丢进ice重新跑即可(由于落盘时间是发生问题时间,完全不用担心活动结束了的修复不生效问题),同样的,如果是不关键的业务如头像服务挂了,但是依然希望跑起来,只是没有头像而已,这样可以选择跳过错误继续执行。这里的落盘等规则不细展开描述。同样的原理也可以用在mock上,只需要在Pack中增加需要mock的数据,就可以跑起来。

2.5.4 引入前置节点

上面的逻辑中可以看到有一些AND节点紧密绑定的关系,为了视图与配置简化,增加了前置(forward)节点概念,当且仅当前置节点执行结果为非false时才会执行本节点,语义与AND相连的两个节点一致

还有很多可以做的事情在这里不在赘述,如果看到这里并且还能理解的话,应该都会有一些想法(欢迎交流,哈哈哈)。

3 Code

Talk is cheap. Show me the code…

github.com/zjn-zjn/ice

gitee.com/waitmoon/ic…

官方文档:

waitmoon.com/docs/zh/

有兴趣的小伙伴欢迎入群一起探讨交流~

个人微信(因微信群超过200人,加我微信邀请入群~):

11-dark.jpeg

(Q群:587368939)~

微信公众号:ICE研究中心