[前端]_一起刷leetcode 面试题 02.04. 分割链表

213 阅读1分钟

大家好,我是挨打的阿木木,爱好算法的前端摸鱼老。最近会频繁给大家分享我刷算法题过程中的思路和心得。如果你也是想提高逼格的摸鱼老,欢迎关注我,一起学习。

题目

面试题 02.04. 分割链表

给你一个链表的头节点 head 和一个特定值 **x ,请你对链表进行分隔,使得所有 小于 x 的节点都出现在 大于或等于 x 的节点之前。

你不需要 保留 每个分区中各节点的初始相对位置。

 

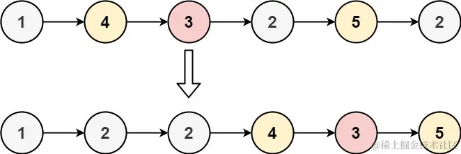
示例 1:

输入: head = [1,4,3,2,5,2], x = 3
输出:[1,2,2,4,3,5]

示例 2:

输入: head = [2,1], x = 2
输出:[1,2]

 

提示:

  • 链表中节点的数目在范围 [0, 200] 内
  • -100 <= Node.val <= 100
  • -200 <= x <= 200

思路

这道题目跟[路飞]_一起刷leetcode 86. 分隔链表 非常相似,但是不同之处在于一个需要保留原本的相对位置,一个不需要。所以也给了我们在这道题目中的操作空间,可以直接通过一轮遍历,把小于x的元素放到最前面去即可。

实现

/**
 * Definition for singly-linked list.
 * function ListNode(val) {
 *     this.val = val;
 *     this.next = null;
 * }
 */
/**
 * @param {ListNode} head
 * @param {number} x
 * @return {ListNode}
 */
var partition = function(head, x) {
    // 非空判断
    if (!head || !head.next) {
        return head;
    }

    let cur = head;
    // 第一个元素不用判断,它可以左右摇摆
    while (cur.next) {
        // 把小的元素提到最前面,大的不用管
        if (cur.next.val < x) {
            const nextOne = cur.next;
            cur.next = cur.next.next
            nextOne.next = head;
            head = nextOne;
        } else {
            cur = cur.next;
        }
    }

    return head;
};

看懂了的小伙伴可以点个关注、咱们下道题目见。如无意外以后文章都会以这种形式,有好的建议欢迎评论区留言。