【路飞】算法与数据结构-删除排序链表中的重复元素

144 阅读1分钟

我正在参与掘金新人创作活动,一起开启写作之路。

算法与数据结构-删除排序链表中的重复元素

LeetCode:地址

题目要求

存在一个按升序排列的链表,给你这个链表的头节点 head ,请你删除所有重复的元素,使每个元素 只出现一次 。

返回同样按升序排列的结果链表。

示例 1:

list1.jpg

输入: head = [1,1,2]
输出: [1,2]

示例 2:

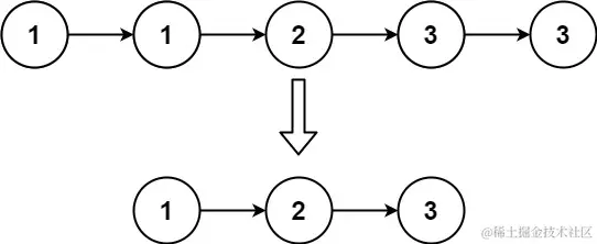
list2.jpg

输入: head = [1,1,2,3,3]
输出: [1,2,3]

提示:

  • 链表中节点数目在范围 [0, 300] 内
  • -100 <= Node.val <= 100
  • 题目数据保证链表已经按升序排列
思路

标签:链表 指定 cur 指针指向头部 head 当 cur 和 cur.next 的存在为循环结束条件,当二者有一个不存在时说明链表没有去重复的必要了 当 cur.val 和 cur.next.val 相等时说明需要去重,则将 cur 的下一个指针指向下一个的下一个,这样就能达到去重复的效果 如果不相等则 cur 移动到下一个位置继续循环 时间复杂度:O(n)O(n)

代码
/**
 * Definition for singly-linked list.
 * function ListNode(val) {
 *     this.val = val;
 *     this.next = null;
 * }
 */
/**
 * @param {ListNode} head
 * @return {ListNode}
 */
var deleteDuplicates = function(head) {
    var cur = head;
    while(cur && cur.next) {
        if(cur.val == cur.next.val) {
            cur.next = cur.next.next;
        } else {
            cur = cur.next;
        }
    }
    return head;
};