[路飞]_leetcode-143-重排链表

557 阅读1分钟

[题目地址] [B站地址]

给定一个单链表 L **的头节点 head ,单链表 L 表示为:

L0 → L1 → … → Ln - 1 → Ln

请将其重新排列后变为:

L0 → Ln → L1 → Ln - 1 → L2 → Ln - 2 → …

不能只是单纯的改变节点内部的值,而是需要实际的进行节点交换。

 

示例 1:

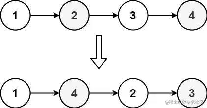
输入: head = [1,2,3,4]
输出: [1,4,2,3]

示例 2:

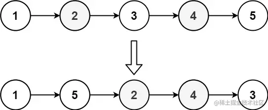
输入: head = [1,2,3,4,5]
输出: [1,5,2,4,3]

提示:

  • 链表的长度范围为 [1, 5 * 104]
  • 1 <= node.val <= 1000

本题要我们将链表重新排列,排列的规则是 1->n->2->n-1->...

要完成这样的操作,首先需要拿到后面的节点,而且要从后向前依次拿

根据这样的需求,可以首先将输入链表转为双向链表

然后定义两个指针 pre,next,初始指向头节点和尾节点

然后让 pre.next = next,达到第一个节点指向最后一个节点的目的

接着让 next.next = pre.next,达到最后一个节点指向第二个节点的目的

然后更新 pre = pre.next,next = next.pre,重复以上过程

直到两个指针相遇,这里需要将链表中的环解开

相遇的条件是 pre.next = next 或者 pre = next,此时的环其实都在 next 指针指向的节点上, 通过将 next.next = null,将环解开即可

整体过程如下:

leetcode-143-重排链表.gif 代码如下:

var reorderList = function(head) {
  let pre = head,next = pre.next;
  // 将原链表转为双向链表
  while(next){
    next.pre = pre;
    pre = next;
    next = pre?pre.next:null;
  }
  // pre指向头节点,next指向尾节点
  next = pre,pre = head;
  // 通过将pre.next = next,next.next = pre.next实现链表的重新排列
  while(pre.next!==next && pre!==next){
    const pre_next = pre.next;
    pre.next = next;
    next.next = pre_next;
    pre = pre_next;
    next = next.pre;
  }
  // 解除链表中的环
  next.next = null;
};

至此我们就完成了 leetcode-143-重排链表

如有任何问题或建议,欢迎留言讨论!