【路飞】算法与数据结构-两两交换链表中的节点

134 阅读1分钟

不管全世界所有人怎么说,我都认为自己的感受才是正确的。无论别人怎么看,我绝不打乱自己的节奏。喜欢的事自然可以坚持,不喜欢的怎么也长久不了。

LeetCode:原题地址

题目要求

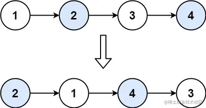
给你一个链表,两两交换其中相邻的节点,并返回交换后链表的头节点。你必须在不修改节点内部的值的情况下完成本题(即,只能进行节点交换)。

示例 1:

swap_ex1.jpg

输入: head = [1,2,3,4]
输出: [2,1,4,3]

示例 2:

输入: head = []
输出: []

示例 3:

输入: head = [1]
输出: [1]

提示:

  • 链表中节点的数目在范围 [0, 100] 内
  • 0 <= Node.val <= 100

思路

迭代法创建交换结点

代码

/**
 * Definition for singly-linked list.
 * function ListNode(val, next) {
 *     this.val = (val===undefined ? 0 : val)
 *     this.next = (next===undefined ? null : next)
 * }
 */
/**
 * @param {ListNode} head
 * @return {ListNode}
 */
var swapPairs = function(head) {
  //创建一个哑结点dummy
  const dummy = new ListNode(0,head);
  let temp = dummy;
  while(temp.next && temp.next.next){
    const node1 = temp.next;//两个结点中的第一个结点
    const node2 = temp.next.next;//两个结点中的第二个结点
    temp.next = node2;//将temp.next指向node2
    node1.next = node2.next;//将node1.next指向node2的下一个结点node3
    node2.next = node1;//将node2.next指向node1
    temp = node1;
  }
  return dummy.next;
};