【路飞】算法与数据结构-反转链表

342 阅读1分钟

不管全世界所有人怎么说,我都认为自己的感受才是正确的。无论别人怎么看,我绝不打乱自己的节奏。喜欢的事自然可以坚持,不喜欢的怎么也长久不了。

LeetCode:原题地址

题目要求

给你单链表的头节点 head ,请你反转链表,并返回反转后的链表。

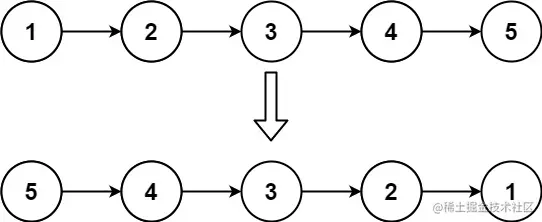
例1:

rev1ex1.jpg

输入:head = [1,2,3,4,5]
输出:[5,4,3,2,1]

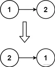
示例 2:

rev1ex2.jpg

输入:head = [1,2]
输出:[2,1]

示例 3:

输入:head = [] 输出:[]

思路

广度优先搜索、深度优先搜索等等都是有固定模式(套路)的。

写的过程中,尽量拆开来写,加上注释,思路就不会乱。

代码

/**
 * Definition for singly-linked list.
 * function ListNode(val, next) {
 *     this.val = (val===undefined ? 0 : val)
 *     this.next = (next===undefined ? null : next)
 * }
 */
/**
 * @param {ListNode} head
 * @return {ListNode}
 */
var reverseList = function(head) {
  if (head == null || head.next == null) return head

   let resHead = null // 反转过程中,已反转链表的头结点
   let todoHead = head // 待反转链表的头结点

   // 只要待反转链表头节点还存在,就while下去
   while(todoHead) {
     // 先把待反转链表头节点断开
     let tmp = todoHead
     todoHead = todoHead.next

     // 将断开下来的节点连接到已反转的链表
     tmp.next = resHead
     resHead = tmp
   }

   return resHead
};