电工学

421 阅读6分钟

待完善:例题部分

一、电路的基本概念和基本规律

1、电路的作用

实现电能的传输和转换;传递和处理信息

2、电压电流的参考方向和实际方向

正电荷运动的方向是电流的方向 参考方向选定之后,电压电流才有正负

3、欧姆定律

R= +- U/I 电压电流参考方向相同相反时去正负号不同

4、电源有载工作、开路和短路

电源:电流从+流出 负载:电流从+流入

5、基尔霍夫定律

  • 基尔霍夫电流定律 任意瞬间,某一结点流入流出电流相等
  • 基尔霍夫电压定律 任一回路,按顺时针或者逆时针,电压降之和=电压升之和
  • 应用定律前,要先标好电压电流电动势参考方向

6、电位

电路中任意两点的电压值一定,但各点的电位不一定

7、例题阅读

二、电路的分析方法

1、电阻串并联的等效变换

  • 串联 电阻分压;

总电阻=各串联电阻之和

  • 并联 电阻分流;

总电阻的倒数=各分电阻倒数之和 并联的电阻越多,总电阻越小,电路总电流和总功率越大,但每个负载的电流和功率却基本不变

2、电源的两种模型

  • 电压源模型 E和R串联 image

  • 电流源模型 E和R并联 image

  • 转换 I = E/R

  • 实际上是对外等效,对内不等效的

  • 串联的理想电压源可以叠加;并联的理想电流源可以叠加

  • 恒流源保持电流不变,则可视与之并联的电阻开路;恒压源保持电压不变,则可视与之串联的电阻短路

3、支路电流法

对于n个结点,b条支路,可以得到n-1条电流等式和b-(n-1)条电压等式(单孔回路个数),可以解出b个支路电流

适用:求全部支路或者求大部分支路

4、结点电压法

针对:只有两个结点a,b的电路,结点电压参考方向a->b

公式:分母为各支路电阻倒数之和,分子为各支路电流之和,分子的各项在电动势和结点电压的参考方向相反时取正(电动势的+和a同一个端即相反)

5、叠加定理

方法:将电压源短接,电流源开路,内阻保留原位置

功率不能叠加

6、戴维宁定理和诺顿定理

适应:只需要计算复杂电路的一个支路,利用有源二端网络

  • 戴维宁定理 E和R0串联的电源替代二端网络

方法:电动势=电路负载断开后两端的电压,等效电阻=除去电源(电压源短路,电流源开路)后两端之间的等效电阻

  • 诺顿定理 E和R0并联的电源替代二端网络

方法:电流=两端短路后其中的电流;等效电阻=除去电源(电压源短路,电流源开路)后两端之间的等效电阻

7、例题阅读

还没看

三、电路的暂态分析

RC电路一阶线性微分方程

1、电阻、电感、电容

  • 电阻是耗能元件
  • 电感元件储能
  • 电容元件储能

2、储能元件和换路定则

核心:换路瞬间电感中电流iL不能跃变,电容上电压uC不能跃变

3、RC电路的响应

image R为总电阻

零状态响应

换路前电容无能量,实际就是充电 image

零输入响应

由电容产生的电路响应,实际就是放电 image

全响应

前两个状态叠加,

全响应=稳态分量+瞬态分量 image 全响应=零输入响应+零状态响应 image

4、三要素法解一阶线性电路暂态分析

只含有一个储能元件(或可以等效为一个储能元件)的线性电路,描述电路的方程为一阶常系数线性微分方程,这种电路称为一阶电路

image.png

5、RL电路的响应

image.png

零状态响应

电感元件本来没有能量

image.png

image.png

零输入响应

image.png

image.png

全响应

一阶RL电路同样可以用三要素法 I0是电感初始电流 image.png 零输入+零状态 image.png

image.png

7、例题阅读

!待完善

四、正弦交流电路

1、正弦电压和电流

  • 角频率和周期、频率的关系

image.png

  • 正弦量在某一瞬间的值=瞬时值,用小写字母表示,最大的值=幅值或最大值,用带下标m的大写字母表示

  • 有效值

image.png

image.png

  • 一般所讲的正弦电压和电流的大小,都是有效值,例如220V
  • 初相位,a比b先到达正的幅值,相位上a比b超前,b比a滞后

image.png

2、正弦量的相量表示法

用复数表示

代数式 image.png

image.png 指数式 image.png 极坐标式 image.png 加减可以用代数式,乘除可以用指数式或极坐标式。复数的模==正弦量的幅值或有效值,幅角==正弦量的初相位。写成在大写字母上加‘·’

只有正弦周期量才能用相量表示,只有同频率的正弦量才能画在同一相量图上

3、单一参数元件的交流电流

电阻

电流和电压同相;

电压与电流的幅值(有效值)之比就是电阻;

瞬时功率总>=0

电感

电压和电流同频率。电流滞后电压90度,电压超前电流90度;

电压与电流的幅值(有效值)之比==wL;

对交流电流有阻碍作用,即感抗, image.png

image.png 电感线圈对高频电流阻碍作用很大,对直流可视为短路;

感抗是电压电流幅值(有效值)之比,不是瞬时值之比;

电感元件不耗费能,只是把能量作存储和取返,平均值==0

image.png 无功功率==瞬时功率的幅值,衡量能的交换,单位是乏或千乏

image.png

电容

电压和电流同频率。电流超前电压90度,电压与电流的幅值(有效值)之比==1/(wC)

image.png

image.png

规定:电流滞后电压时,相位差>0。

对电流阻碍作用的物理性质->容抗:

image.png 电容对高频电流容抗很小;对直流容抗无穷大,可视为开路。

瞬时功率 image.png 无功功率

image.png

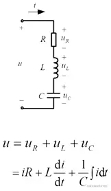
4、电阻电感电容串联的交流电路

image.png

image.png 电路的阻抗Z

image.png

image.png

image.png

image.png

当感抗>容抗时,相位差>0 时,电压超前于电流,电路呈现电感性

当感抗<容抗时,相位差<0 时,电压滞后于电流,电路呈现电容性

改变电路(负载)参数使感抗=容抗时,感抗==容抗,相位差==0,电压电流同相,电路是电阻性电路

瞬时功率

image.png 平均功率

image.png 无功功率

image.png 正弦交流电路中电压与电流的关系

5、阻抗的串联和并联

Z表示阻抗,涉及的都是相量之间的加法

串联

两个串联的阻抗可以用一个等效阻抗Z来替代

Z = Z1 + Z2

image.png

image.png

image.png

image.png 上式中XL取正,XC取负号

并联

两个并联的阻抗可以用一个等效阻抗Z来替代

image.png

image.png 一般情况下

image.png

6、其他

不知道后边有没有教

7、例题

五、来自知乎网友的电工学笔记

重点

  • 电压和电流的参考方向
  • 基尔霍夫定律
  • 电路中电位的计算
  • 支路电流法、结点电压法
  • 叠加定理
  • 戴维宁定理和诺顿定理