【机器学习】模型和成本函数

296 阅读1分钟

模型表示

为了稍微更正式地描述监督学习问题,我们的目标是在给定训练集的情况下,学习函数 h : X → Y,以便 h(x) 是对应 y 值的“好”预测器。由于历史原因,这个函数 h 被称为假设。从图片上看,这个过程是这样的: 在这里插入图片描述 当我们试图预测的目标变量是连续的时候,例如在我们的住房示例中,我们将学习问题称为回归问题,当 y 只能采用少量离散值时候,例如,如果在给定居住面积的情况下,我们想要预测住宅是房屋还是公寓,我们将其称为分类问题。

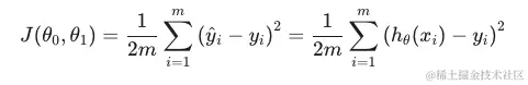
成本函数

我们可以使用成本函数来衡量假设函数的准确性。这需要假设的所有结果与来自 x 的输入和实际输出 y 的平均差异(实际上是平均值的更高级版本)。 在这里插入图片描述 此函数也称为“平方误差函数”或“均方误差”。

下图总结了成本函数的作用: 在这里插入图片描述

成本函数-直觉1

在这里插入图片描述 在这里插入图片描述 在这里插入图片描述 在这里插入图片描述 因此,作为一个目标,我们应该尝试最小化成本函数。

成本函数-直觉2

等高线图是包含许多等高线的图形。二变量函数的等高线在同一条线的所有点处具有恒定值。这种图表的一个例子是下面右边的那个。 在这里插入图片描述 在这里插入图片描述 在这里插入图片描述 上图尽可能地最小化成本函数,因此,结果θ1和θ0分别在 0.12 和 250 左右。将这些值绘制在我们的图表右侧似乎将我们的点放在最里面的“圆圈”的中心。