「leetcode」141-环形链表(两种解法&JS实现的注意点)

399 阅读2分钟

基础知识

  1. 复习下链表的概念

    • 简单来说,链表节点中存储了 当前节点的数据 和 指向下一个节点的地址引用。 image.png
  2. 环形链表

image.png

题目复述

给你一个链表的头节点 head ,判断链表中是否有环。

如果链表中有某个节点,可以通过连续跟踪 next 指针再次到达,则链表中存在环。 为了表示给定链表中的环,评测系统内部使用整数 pos 来表示链表尾连接到链表中的位置(索引从 0 开始)。如果 pos 是 -1,则在该链表中没有环。注意:pos 不作为参数进行传递,仅仅是为了标识链表的实际情况。

如果链表中存在环,则返回 true 。 否则,返回 false 。


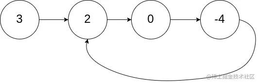
示例 1

image.png

输入:head = [3,2,0,-4], pos = 1
输出:true
解释:链表中有一个环,其尾部连接到第二个节点。

来源:力扣(LeetCode)
链接:https://leetcode-cn.com/problems/linked-list-cycle
著作权归领扣网络所有。商业转载请联系官方授权,非商业转载请注明出处。

解题思路

1. 哈希表

  • 遍历整个链表,以整个节点的引用为 key ,将其哈希化,在遍历过程中如果发现同个引用已经存在于表中,则判定有环。
  • 注意点: 用 js 实现的时候,不要用 object 作为哈希表。因为 object 的 key 必须是 string 或者 symbol,所以 js 会将对象 stringify 来作为 key ,导致判断出错。
  • 时间复杂度:最差情况下,该方法需要遍历整个链表,所以时间复杂度为 O(N),N 为链表的节点数量。
  • 空间复杂度:该方法需要一整个 map 来辅助,所以空间复杂度也为 O(N),N 为链表的节点数量。
  • 实现代码:
/**
 * Definition for singly-linked list.
 * function ListNode(val) {
 *     this.val = val;
 *     this.next = null;
 * }
 */

/**
 * @param {ListNode} head
 * @return {boolean}
 */
var hasCycle = function(head) {
    if (!head || !head.next) {
        return false
    }
    const hashMap = new Map()
    let has = false
    function getAllList(head) {
        if (!has) {
            if (hashMap.get(head)) {
                has = true
            } else {
                hashMap.set(head, head)
                if (head.next) {
                    getAllList(head.next)
                }
            }            
        }
    }
    getAllList(head)
    return has
};

2. 快慢指针

  • 建立两个指针,一个走 1 步,一个走 2 步,如果有环,那么两者肯定相遇。
  • 时间复杂度(N 为链表的节点数量):
    • 无环的情况下,需要的时间为 N/2,快节点将很快的到达节点
    • 有环的情况下,假设环外长度 a,环长度 N-a, 总步数为 s,a + s * 1 = a + s * 2 - (N-a),得到 s = N + a,最差情况也即是环外长度等于节点长度时,需要的时间为 N * 2,所以时间复杂度为 O(N)
  • 空间复杂度:只新建了两个指针,O(1)
  • 实现代码:
/**
 * Definition for singly-linked list.
 * function ListNode(val) {
 *     this.val = val;
 *     this.next = null;
 * }
 */

/**
 * @param {ListNode} head
 * @return {boolean}
 */
 // 快慢指针解法
var hasCycle = function(head) {
    if (!head || !head.next) {
        return false
    }
    let has = false
    let slow = head
    let quick = head
    while(slow.next && quick.next && quick.next.next && !has) {
        slow = slow.next
        quick = quick.next.next
        if (slow === quick) {
            has = true
        }
    }
    return has
};