【LeetCode】112. 路径总和

133 阅读2分钟

算法现在就是大厂、外企的硬指标。开发、测开、测试,想往上总是绕不开的。

题目描述

难度:【简单】 标签:【二叉树】

给你二叉树的根节点 root 和一个表示目标和的整数 targetSum ,

判断该树中是否存在 根节点到叶子节点 的路径,

这条路径上所有节点值相加等于目标和 targetSum

叶子节点 是指没有子节点的节点。

题目地址:leetcode-cn.com/problems/pa…

示例

示例 1

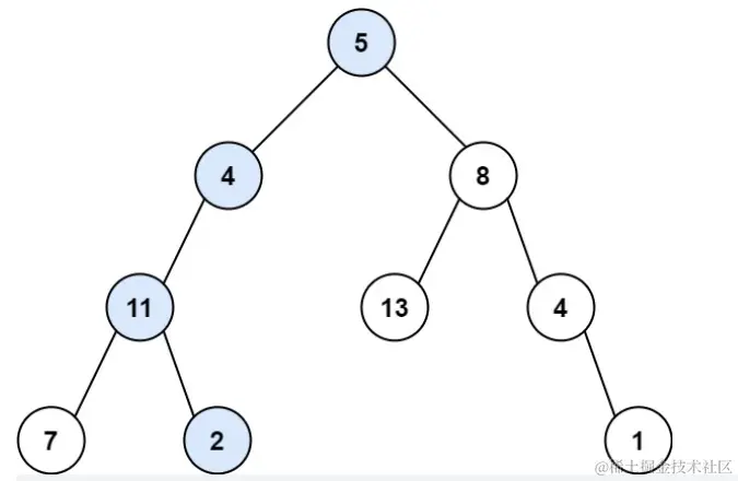
输入:root = [5,4,8,11,null,13,4,7,2,null,null,null,1], targetSum = 22
输出:true

示例 2

输入:root = [1,2,3], targetSum = 5
输出:false

示例 3:

输入:root = [1,2], targetSum = 0
输出:false

解题

这个问题在于这条路径上所有节点值相加等于目标和 targetSum,路径和可以定义为从跟节点到叶子节点的所有节点的和

现在这个和是已知的,我遍历过的节点也是已知的。

那么按照套路,考虑下当前节点需要做的事情:

当前节点跟这个目标值进行比较,如果相等就返回true,不等就继续往下遍历。

当前节点遍历过后,目标值要减去当前这个节点的值,作为新的目标值,给孩子节点使用。

剩下的继续交给递归来处理,不要跳入递归细节。

/**
 * Definition for a binary tree node.
 * public class TreeNode {
 *     int val;
 *     TreeNode left;
 *     TreeNode right;
 *     TreeNode() {}
 *     TreeNode(int val) { this.val = val; }
 *     TreeNode(int val, TreeNode left, TreeNode right) {
 *         this.val = val;
 *         this.left = left;
 *         this.right = right;
 *     }
 * }
 */
class Solution {
    public boolean hasPathSum(TreeNode root, int targetSum) {
        if (root == null) {
            return false;
        }
        if (root.left == null && root.right == null && root.val == targetSum) {
            return true;
        }
        // 当前节点的值与目标值不等,就继续往下递归遍历左右孩子
        // 因为遍历过的节点不等于目标值,那么就可以用目标值减去它,作为新的目标值,传给孩子节点比较
        boolean leftResult = hasPathSum(root.left, targetSum - root.val);
        boolean rightResult = hasPathSum(root.right, targetSum - root.val);
        // 最后只要左右孩子任一满足即可
        return leftResult || rightResult;
    }
}

从框架角度,仍然是一道前序遍历。