【LeetCode】110. 平衡二叉树

119 阅读1分钟

题目描述

难度:【简单】 标签:【二叉树】

给定一个二叉树,判断它是否是高度平衡的二叉树。

本题中,一棵高度平衡二叉树定义为:一个二叉树每个节点 的左右两个子树的高度差的绝对值不超过 1 。 题目地址:leetcode-cn.com/problems/ba…

示例

示例 1

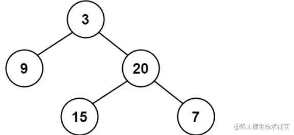
输入:root = [3,9,20,null,null,15,7]
输出:true

示例 2

输入:root = [1,2,2,3,3,null,null,4,4]
输出:false

示例 3

输入:root = []
输出:true

题目大意

判断一个二叉树是不是高度平衡,要明白高度平衡的意思。

解题

看示例的图可以想到一个思路就是从根节点进行前序遍历,每遍历到一个节点就判断下这个节点的左右子树的高度差,是不是小于等于 1。

那么就需要一个辅助的函数来计算一个节点的左右子树高度。

然后,需要明确一个节点要做的事情,比如根节点 root:

  • 判断root的左右子树高度差是不是大于1
  • 然后递归去判断 左右2个子树的,最后都为 true,那么整颗二叉树就是高度平衡。
/**
 * Definition for a binary tree node.
 * public class TreeNode {
 *     int val;
 *     TreeNode left;
 *     TreeNode right;
 *     TreeNode() {}
 *     TreeNode(int val) { this.val = val; }
 *     TreeNode(int val, TreeNode left, TreeNode right) {
 *         this.val = val;
 *         this.left = left;
 *         this.right = right;
 *     }
 * }
 */
class Solution {
    public boolean isBalanced(TreeNode root) {
        if (root == null) {
            return true;
        }
        return Math.abs(height(root.left) - height(root.right)) <=1
                && isBalanced(root.left)
                && isBalanced(root.right);
    }
    // 计算节点左右子树高度
    public int height(TreeNode node) {
        if (node == null) {
            return 0;
        }
        return Math.max(height(node.left), height(node.right)) + 1;
    }
}