【LeetCode】100. 相同的树

123 阅读1分钟

题目描述

难度:【简单】 标签:【二叉树】

给你两棵二叉树的根节点 pq ,编写一个函数来检验这两棵树是否相同。
如果两个树在结构上相同,并且节点具有相同的值,则认为它们是相同的。

题目地址:leetcode-cn.com/problems/sa…

示例

示例 1

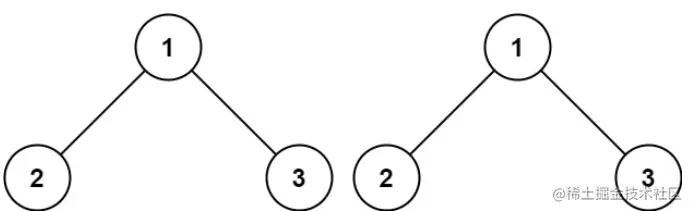
输入:p = [1,2,3], q = [1,2,3]
输出:true

示例 2

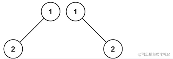
输入:p = [1,2], q = [1,null,2]
输出:false

示例 3:

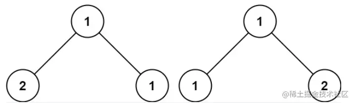
输入:p = [1,2,1], q = [1,1,2]
输出:false

题目大意

如果两个树在结构上相同,并且节点具有相同的值,则认为它们是相同的。

解题

这题可以看做是一个二叉树的前序遍历,明确一个节点要做的事情,然后剩下的事抛给框架。

那么传进来的 2 个节点需要干啥事情?

  • 判断这 2个节点的值是否相等,是的话就继续往下比较2个节点的对应的左右孩子节点(交给递归)。
/**
 * Definition for a binary tree node.
 * public class TreeNode {
 *     int val;
 *     TreeNode left;
 *     TreeNode right;
 *     TreeNode() {}
 *     TreeNode(int val) { this.val = val; }
 *     TreeNode(int val, TreeNode left, TreeNode right) {
 *         this.val = val;
 *         this.left = left;
 *         this.right = right;
 *     }
 * }
 */
class Solution {
    public boolean isSameTree(TreeNode p, TreeNode q) {
        // 2个节点都是null,认为相同,返回true
        if (p == null && q == null) {
            return true;
        }
        // 2个节点任一个为null,返回 false
        if (p == null || q == null) {
            return false;
        }
        // 2个节点都不为空,但是值不等,返回 false
        if (p.val != q.val) {
            return false;
        }
        // 2个节点都不为空,值也相等,就继续递归左子树,右子树,
        // 两边结束后都为 true,则最终为true
        return isSameTree(p.left, q.left) && isSameTree(p.right, q.right);
    }
}