leetCode 面试刷题

82 阅读2分钟

直接上题

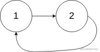
环形链表

给你一个链表的头节点 head ,判断链表中是否有环。

如果链表中有某个节点,可以通过连续跟踪 next 指针再次到达,则链表中存在环。 为了表示给定链表中的环,评测系统内部使用整数 pos 来表示链表尾连接到链表中的位置(索引从 0 开始)。如果 pos 是 -1,则在该链表中没有环。注意:pos 不作为参数进行传递,仅仅是为了标识链表的实际情况。 如果链表中存在环,则返回 true 。 否则,返回 false 。

示例 1:

输入: head = [3,2,0,-4], pos = 1
输出: true
解释: 链表中有一个环,其尾部连接到第二个节点。

示例 2:

输入: head = [1,2], pos = 0
输出: true
解释: 链表中有一个环,其尾部连接到第一个节点。
// 思路就是快慢指针   比如俩个人在操场跑步 a速度为x  b速度为2x 所以在某一个点上 a和b会相遇 
// 这就证明有交点  同理看代码吧
var hasCycle = function (head) {
    let q = head
    let p = head
    while (p && p.next) {
        q = q.next
        p = p.next.next
        if (q === p) {
            return true
        }
    }
    return false
};

912. 排序数组

给你一个整数数组 nums,请你将该数组升序排列

示例 1:

输入: nums = [5,2,3,1]
输出: [1,2,3,5]

示例 2:

输入: nums = [5,1,1,2,0,0]
输出: [0,0,1,1,2,5]

1606195891-ADqHPX-冒泡排序.gif

 // 冒泡排序  俩俩互换位置
 var sortArray = function(nums) {
    for (let i = 0;i<nums.length - 1;i++) {
        // i表示已经排序好的个数
        for(let j = 0;j<nums.length - 1 - i;j++) {
            if(nums[j] > nums[j+1]) {
                [nums[j], nums[j+1]] = [nums[j+1], nums[j]]
            }
        }
    }
    return nums
};

平方数之和

给定一个非负整数 c ,你要判断是否存在两个整数 a 和 b,使得 a2 + b2 = c 。

示例 1:

输入: c = 5
输出: true
解释: 1 * 1 + 2 * 2 = 5

示例 2:

输入: c = 3
输出: false
// 思路
var judgeSquareSum = function(c) {
    // 循环  c-a*a =  另一个值得平方  开根号 为整数代表满足  `a2 + b2 = c`
    for (let a = 0; a * a <= c; a++) {
        const b = Math.sqrt(c - a * a);
        if (b === parseInt(b)) {
            return true;
        }
    }
    return false;
};