124. 二叉树中的最大路径和

168 阅读2分钟

题目

124. 二叉树中的最大路径和

路径 被定义为一条从树中任意节点出发,沿父节点-子节点连接,达到任意节点的序列。同一个节点在一条路径序列中 至多出现一次 。该路径 至少包含一个 节点,且不一定经过根节点。

路径和 是路径中各节点值的总和。

给你一个二叉树的根节点 root ,返回其 最大路径和

示例 1:

img

输入:root = [1,2,3]
输出:6
解释:最优路径是 2 -> 1 -> 3 ,路径和为 2 + 1 + 3 = 6

示例 2:

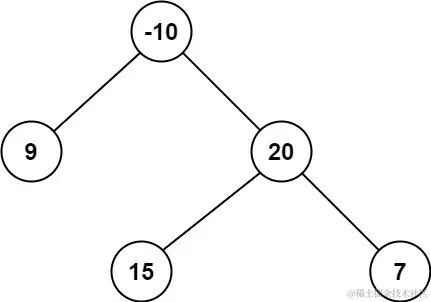
img

输入:root = [-10,9,20,null,null,15,7]
输出:42
解释:最优路径是 15 -> 20 -> 7 ,路径和为 15 + 20 + 7 = 42

提示:

  • 树中节点数目范围是 [1, 3 * 104]
  • -1000 <= Node.val <= 1000

思路

树的题目大多涉及到递归,需要思考如何设计递归函数 dfs函数的作用:返回以给定节点为根节点的二叉树最大路径和 需要注意:

  • 最大路径可以从树中任意节点出发
  • 路径至少包含一个节点
  • 以某个节点为根节点的最大路径和有可能为负数。因为-1000 <= Node.val <= 1000

解法

纯享版

var maxPathSum = function(root) {
    let max = -Infinity
    const dfs = (root) => {
        if(!root) return 0
        let left = dfs(root.left)
        let right = dfs(root.right)
        max = Math.max(max, Math.max(left, 0) + Math.max(right, 0)+root.val) 
        return Math.max(left, right, 0) + root.val
    }
    dfs(root)
    return max
};

注释版

/**
 * Definition for a binary tree node.
 * function TreeNode(val, left, right) {
 *     this.val = (val===undefined ? 0 : val)
 *     this.left = (left===undefined ? null : left)
 *     this.right = (right===undefined ? null : right)
 * }
 */
/**
 * @param {TreeNode} root
 * @return {number}
 */
//  从任意节点出发 => 选择记录max全局最大值
/* dfs记录以当前节点为根节点的最大路径和,递归左右子节点,
更新全局最大值的同时返回以当前节点为根节点的最大路径和 */
var maxPathSum = function(root) {
    let max = -Infinity
    const dfs = (root) => {
        if(!root) return 0
        let left = dfs(root.left) //以左节点为根节点的二叉树最大路径和
        let right = dfs(root.right) // 以右节点为根节点的二叉树最大路径和
        // 递归的过程中可能已经出现了原二叉树的最大路径和,需要更新最大路径和max
        // 为什么要加入0进行比较?因为最大路径和有可能为负数
        //为负数的话就返回Math.max就返回0,代表不选择该节点
        max = Math.max(max, Math.max(left, 0) + Math.max(right, 0)+root.val) 
        /*此外,dfs的功能就是计算以当前节点为根节点的最大路径和,因此将 当前节点的值(即root.val)
        与 以当前节点的子节点为根节点的子树的最大路径和(即 Math.max(left, right, 0))的和
        作为以当前节点为根节点的最大路径和
        为什么加入0进行比较的原因同上,因为最大路径和有可能为负数 */
        return Math.max(left, right, 0) + root.val
    }
    dfs(root)
    return max
};