leetcode-环形链表 II

93 阅读1分钟

给定一个链表,返回链表开始入环的第一个节点。 如果链表无环,则返回 null

如果链表中有某个节点,可以通过连续跟踪 next 指针再次到达,则链表中存在环。 为了表示给定链表中的环,评测系统内部使用整数 pos 来表示链表尾连接到链表中的位置(索引从 0 开始)。如果 pos 是 -1,则在该链表中没有环。注意:pos 不作为参数进行传递,仅仅是为了标识链表的实际情况。 不允许修改 链表。

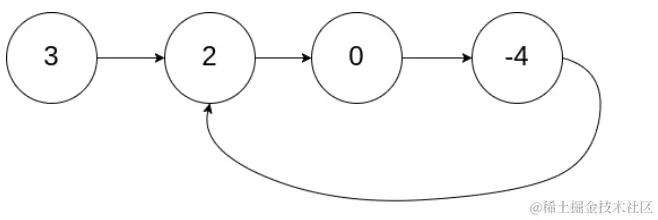
示例1

截屏2021-11-30 下午3.17.24.png

输入: head = [3,2,0,-4], pos = 1
输出: 返回索引为 1 的链表节点
解释: 链表中有一个环,其尾部连接到第二个节点。

提示:

  • 链表中节点的数目范围在范围 [0, 10的4次方] 内
  • -10的5次方 <= Node.val <= 10的5次方
  • pos 的值为 -1 或者链表中的一个有效索引

代码思路

  • 先判断链表为空的情况,如果链表为空,返回 null
  • 遍历链表,如果当前节点没有tag,就加上tag,标记该节点遍历过
  • 如果链表没有环,整个遍历会走到链表末尾,返回 null 
  • 如果链表有环,会出现遍历到一个节点,该节点已经有了标记的情况,该节点就是入环的第一个节点,返回该节点

代码展示

var detectCycle = function(head) {
  // 如果是空链表,肯定没有环,返回 null
  if(head === null) return null;
  // 遍历链表
  while(head){
    // 如果该链表已经遍历过,返回该节点
    if(head.tag) return head;
    // 否则给节点加上标记
    head.tag = 'been'
    head = head.next;
  }
  // 如果遍历走到了链表末尾,返回 null
  return null;
};