[路飞]_程序员必刷力扣题: 83. 删除排序链表中的重复元素

155 阅读2分钟

「这是我参与12月更文挑战的第19天,活动详情查看:2021最后一次更文挑战

83. 删除排序链表中的重复元素

存在一个按升序排列的链表,给你这个链表的头节点 head ,请你删除所有重复的元素,使每个元素 只出现一次 。

返回同样按升序排列的结果链表。

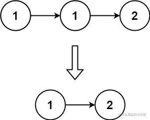
示例 1: image.png

输入: head = [1,1,2]
输出: [1,2]

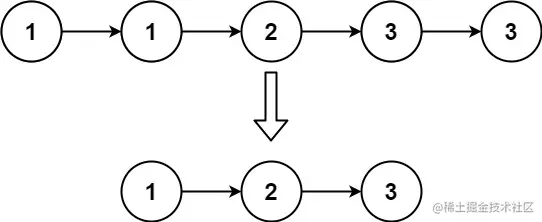
示例 2:

image.png

输入: head = [1,1,2,3,3]
输出: [1,2,3]

提示:

  • 链表中节点数目在范围 [0, 300] 内
  • -100 <= Node.val <= 100
  • 题目数据保证链表已经按升序排列

一次遍历

思路

因为这是一个按升序排列的链表,所以重复的节点是紧紧连在一起的。

想要删除重复节点我们可以声明一个变量pre,用来保存当前正在处理的值(并不是当前面处理的节点,因为可能多个节点的值是重复的),声明一个新指针newHead指向head用来遍历整个链表而不破环链表结构

  • 首先处理边界条件,如果head为空则直接返回

  • pre 直接等于链表的头结点,然后遍历

  • 如果pre节点的值等于当前节点的值,且不是同一个节点,那么当前节点就是重复节点需要删除,直接让pre.next 指向当前节点的下一个节点

  • 如果pre节点的值与当前节点的值不相等,那么证明pre节点的值已经没有重复的,直接更新pre的值为当前节点

最后处理完毕返回头结点head

复杂度分析

  • 这里我们只进行了一次遍历,所以时间复杂度:O(n),其中 n 是链表的长度。
  • 这里我们并没有占用额外空间,只是保存了一些指针,所以空间复杂度:O(1)。
var deleteDuplicates = function(head) {
    if(!head) return head
    var  pre = head
    var newHead = head
    while(newHead){
        var curr = newHead
        if(pre.val===curr.val&&pre!==curr){
            pre.next = curr.next
        }
        if(pre.val!==curr.val){
            pre = curr
        }
        newHead = newHead.next
    }
    return head
};