二叉树的遍历

153 阅读3分钟

1、背景

二叉树作为一个重要的数据结构,在实际生产应用中有很多的应用。那么掌握其遍历的方式对实际生产以及了解源码都很有益。

2、遍历方式

二叉树的主要遍历方式有4种:先序、中序、后序以及层序遍历

首先,声明一下节点TreeNode类,如下:

package com.kunkun.offer.show.common;

/**
 * @author: liukun
 * @Date: 2021/11/21
 */

public class TreeNode {

    public int val;
    public TreeNode left;
    public TreeNode right;
    public TreeNode(int x) { val = x; }

}

2.1、先序遍历

先序遍历的遍历顺序:根 、左、右。

也就是说前序遍历就是先访问根节点,再访问左节点,最后访问右节点。

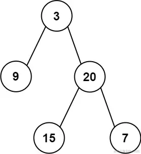
例:如图

我们按照先序遍历的访问顺序遍历这个二叉树得到的结果:3、9、20、15、7

在实际应用中,先序遍历主要有两种实现方式:递归和栈

具体实现:java

  • 首先是递归的实现,递归的实现其实很简单。递归出口是当前节点是null的话,结束递归。先访问当前节点,依次访问左右节点就好了。
/**
     * 先序遍历:根左右
     *
     * 递归
     * @param root
     */
    public void preTraversal(TreeNode root){
        //递归出口
        if(null == root) {
            return;
        }
        System.out.println(root.val);
        preTraversal(root.left);
        preTraversal(root.right);
    }
  • 栈的先序遍历实现
/**
     * 先序遍历
     *
     * 栈
     * @param root
     */
    public void preTraversal2(TreeNode root){
        //递归出口
        if(null == root) {
            return;
        }
        //初始化栈
        Stack<TreeNode> stack = new Stack<>();
        TreeNode p = root;
        //如果p不为空,栈非空。进入循环
        while (null != p || !stack.isEmpty()){
            if (p != null) {
                System.out.println(p.val);
                stack.push(p);
                p = p.left;
            } else {
                p = stack.pop();
                p = p.right;
            }
        }
    }

2.2、中序遍历

中序遍历的遍历顺序:左、根、右。

也就是说前序遍历就是先访问左子树,再访问根节点,最后访问右节点。

同样是上面那棵树,他的中序遍历是:9、3、15、20、7

具体实现:java

  • 递归实现
/**
     * 中序便利的递归实现:左根右
     *
     * @param root
     */
    public void inTraversal(TreeNode root) {
        if (null == root) {
            return;
        }
        inTraversal(root.left);
        System.out.println(root.val);
        inTraversal(root.right);
    }
  • 栈实现
/**
     * 中序遍历的栈实现
     * @param root
     */
    public void inTraversal2(TreeNode root) {
        if (null == root) {
            return;
        }
        Stack<TreeNode> stack = new Stack<>();
        TreeNode p = root;
        //循环条件
        while(null != p || !stack.isEmpty()){
            if (p != null) {
                stack.push(p);
                p = p.left;
            } else {
                p = stack.pop();
                System.out.println(p.val);
                p = p.right;
            }
        }
    }

2.3、后序遍历

中序遍历的遍历顺序:左、右、根。

也就是说前序遍历就是先访问左子树,再访问右节点,最后访问根节点。

同样是上面那棵树,他的中序遍历是:9、15、7、20、3

具体实现:java

  • 递归实现
/**
     * 二叉树后序遍历的递归实现:左右根
     *
     * @param root
     */
    public void postorderTraversal(TreeNode root){
        if (null == root) {
            return;
        }
        postorderTraversal(root.left);
        postorderTraversal(root.right);
        System.out.println(root.val);
    }
  • 栈实现(先序遍历的变种、很多人使用的方法)
  • 个人认为遍历算法的核心,其实是节点访问的次序,用这种方法,其实思想依然是先序遍历的,并不是真正后序遍历。
/**
     * 后序遍历栈实现:
     *
     * 失去遍历算法核心的实现方法
     * @param root
     */
    public void postorderTraversal2(TreeNode root){
        if (null == root) {
            return;
        }
        Stack<TreeNode> stack = new Stack<>();
        List<Integer> list = new LinkedList<>();
        TreeNode p = root;
        while(null != p || !stack.isEmpty()) {
            if (null != p) {
                list.add(p.val);
                stack.push(p);
                p = p.right;
            }else {
                 p = stack.pop();
                 p = p.left;
            }
        }
        Collections.reverse(list);
    }
  • 栈实现(重要)
/**
     * 真正的后序遍历的栈实现
     *
     * 遍历算法的核心是内存的读取顺序
     *
     * 要熟练掌握这种方式
     *
     * @param root
     */
    public void postorderTraversal3(TreeNode root){
        if (null == root) {
            return;
        }
        Stack<TreeNode> stack = new Stack<>();
        TreeNode p = root;
        TreeNode prev = null;
        List<Integer> result = new LinkedList<>();
        while (null != p || !stack.isEmpty()) {
            while(p != null){
                stack.push(p);
                p = p.left;
            }
            p = stack.pop();
            if (null == p.right || prev == p.right) {
                result.add(p.val);
                prev = p;
                p = null;
            } else {
                stack.push(p);
                p = p.right;
            }
        }
    }

2.4、层序遍历

层序遍历是将二叉树每一层从左到右访问

接上面的例子,访问顺序为:3、9、20、15、7

具体实现:java

  • 队列的方式
 /**
     * 二叉树的层序遍历
     *
     * @param root
     * @return
     */
    public static List<Integer> levelOrder(TreeNode root) {
        if (null == root) {
            return new LinkedList<>();
        }
        List<TreeNode> queue = new LinkedList<>();
        TreeNode p = root;
        queue.add(p);
        List<Integer> result = new LinkedList<>();
        while(queue.size() != 0){
            p = queue.remove(0);
            result.add(p.val);
            if (p.left != null) {
                queue.add(p.left);
            }
            if (p.right != null) {
                queue.add(p.right);
            }
        }
        return result;
    }

3、总结

二叉树的遍历是数据结构中非常重要的一章,先序、中序、后序对应的递归和栈的实现方式需要熟练掌握。尤其后续的栈实现,比较复杂。