[路飞]_程序员必刷力扣题: 142. 环形链表 II

175 阅读3分钟

「这是我参与12月更文挑战的第18天,活动详情查看:2021最后一次更文挑战

142. 环形链表 II

给定一个链表,返回链表开始入环的第一个节点。 如果链表无环,则返回 null。

如果链表中有某个节点,可以通过连续跟踪 next 指针再次到达,则链表中存在环。 为了表示给定链表中的环,评测系统内部使用整数 pos 来表示链表尾连接到链表中的位置(索引从 0 开始)。如果 pos 是 -1,则在该链表中没有环。注意:pos 不作为参数进行传递,仅仅是为了标识链表的实际情况。

不允许修改 链表。

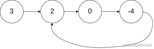
示例 1:

circularlinkedlist.png

输入: head = [3,2,0,-4], pos = 1
输出: 返回索引为 1 的链表节点
解释: 链表中有一个环,其尾部连接到第二个节点。

示例 2:

circularlinkedlist_test2.png

输入: head = [1,2], pos = 0
输出: 返回索引为 0 的链表节点
解释: 链表中有一个环,其尾部连接到第一个节点。

示例 3:

circularlinkedlist_test3.png

输入: head = [1], pos = -1
输出: 返回 null
解释: 链表中没有环。

提示:

  • 链表中节点的数目范围在范围 [0, 104] 内
  • -105 <= Node.val <= 105
  • pos 的值为 -1 或者链表中的一个有效索引

利用数组

思路

利用数组的思路就是我们遍历链表,并且将链表的没一个节点都放到数组中,在每次放入数组之前,我们要做一个判断,是否数组中已经存在了该节点,若存在则该节点就是环的起点,若干不存在,且遍历到null的位置,则证明没有换,根据题意返回null

var detectCycle = function (head) {
    var arr = []
    while(head){
        if(!arr.includes(head)){
            arr.push(head)
        }else{
            return head
        }
        head = head.next
    }
    return null
};

双指针

思路

用双指针的思路我们要厘清一个逻辑问题,先说结论从头开始遍历链表,快指针两步,满指针一步,假设相遇点为m点,环的起点为n点,那么head到n的距离===m到n的距离

证明:假设环的起点为n,当slow到n时,fast到达2n的位置,假设环的长度为n+x;那么此时(slow到达n)fast需要再走x次,slow走x次,才能在n+x处(m点)相遇,环的长度为n+x,在x处相遇,那么相遇点m到n的距离 = n+x-x = n,刚好等于环的其实点n

  • 边界条件:head.next.next不能为空,否则就没有坏,并且提前让fast和next各走对应的一个step(为了后面方便处理,不能一开始就相等)
  • 快指针走两步,慢指针走一步
  • 找到相遇点时,让slow重置为起点head
  • slow和fast步进step都为1,再次相遇点即环的起点

最后返回slow

var detectCycle = function (head) {
    if (!head || !head.next || !head.next.next) return null
    var fast = head.next.next
    var slow = head.next
    while (fast !== slow) {
        if (fast === null || fast.next === null) return null
        fast = fast.next.next
        slow = slow.next
    }

    slow = head

    while (fast !== slow) {
        fast = fast.next
        slow = slow.next
    }
    return slow
};