简单说说红黑树

1,281 阅读10分钟

红黑树介绍

红黑树的性质如下:

  • 性质1:每个节点要么是黑色,要么是红色。
  • 性质2:根节点是黑色
  • 性质3:每个叶子节点(NIL)是黑色,即空节点
  • 性质4:每个红色节点的两个节点一定都是黑色,不能有两个红色节点相连。
  • 性质5:任意一节点到每个叶子节点的路径都包含数量相同的黑节点。俗称黑高,即黑节点的高度是一样

从性质5又可以推出:如果一个节点存在黑子节点,那么该节点肯定有两个子节点

image.png

红黑树并不是一个完美的平衡二叉查找树,从图上可以看到,根节点P的左子树显然比右子树高,但是左子树和右子树的黑节点的层数是相等的,也即任意一个节点到每个节点的路径都包含数量相同的黑节点(性质5).

红黑树的性质讲完了,只要这棵树满足以上性质,这棵树就是趋近于平衡状态的。不要问为什么,发明红黑树的科学家就是这么牛逼。

红黑树能够自平衡,他靠的是什么?三种操作:左旋、右旋和变色

  • 变色:节点的颜色由红变黑或者由黑变红。
  • 左旋:以某个节点作为支点(旋转节点),其右子节点变为旋转节点的父节点,右子节点的左子节点变为旋转节点的右子节点,左子节点保持不变。
  • 右旋:以某个节点作为支点(旋转节点),其左子节点变为旋转节点的父节点,左子节点的右子节点变为旋转节点的左子节点,右子节点保持不变。

左旋图示

image.png

右旋图示

image.png

红黑树查找:跟二叉搜索树一样

image.png

插入操作

红黑树的插入操作包含两部分操作:

  • 查找插入的位置
  • 插入后自平衡

注意:插入节点,必须为红色,理由很简单,红色在父节点(如果存在)为黑色节点时,红黑树的黑色平衡没有被破坏,不需要做自平衡操作。但是如果插入节点是黑色,那么插入位置所在的子树黑色节点总是多1,必须做自平衡。

在开始每个场景介绍前,我们还是先约定一下:

image.png

情景一

情景一:此时红黑树为空,

这是最简单的一种情景,直接将插入节点作为根节点就行。

注意:根据红黑树性质2:根节点是黑色,还需要把插入节点设为黑色。

情景二

情景二:插入节点的key已存在。

处理:更新当前节点的值,为插入节点的值

image.png

情景三

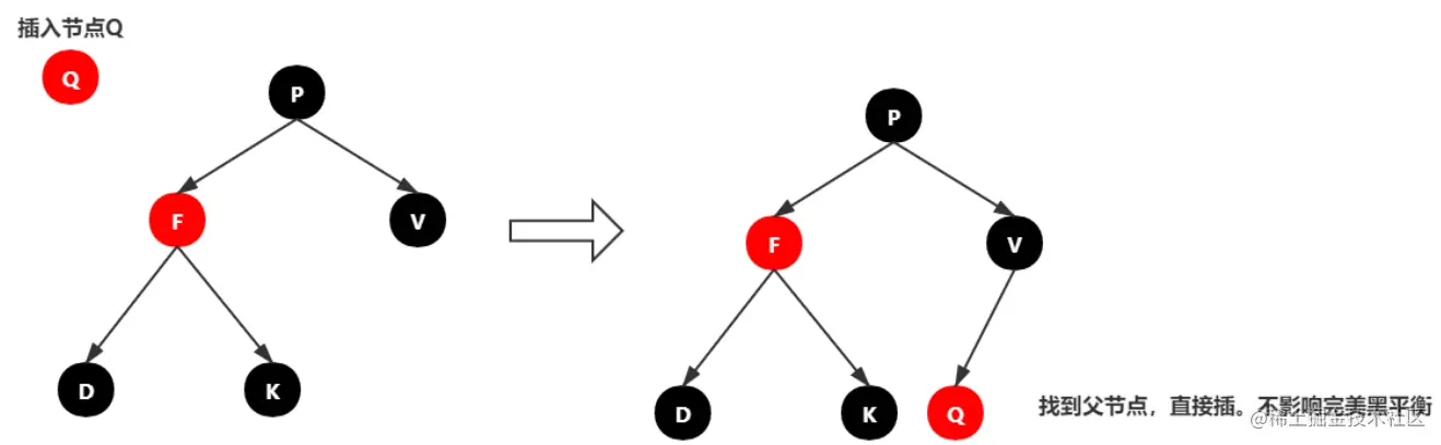
情景三:插入节点的父节点为黑节点

由于插入节点是红色的,并且插入节点的父节点是黑色时,并不影响红黑树的平衡,直接插入即可,无需做自平衡。

image.png

情景四

情景四:插入节点的父节点为红色

再次回顾一下红黑树的性质2:根节点是黑色,如果插入节点的父节点为红节点,那么该父节点不可能为根节点,所以插入节点总是存在祖父节点,这一点很关键,因为后续的旋转操作肯定需要祖父节点的参与。

image.png

1.插入场景4.1:叔叔节点存在并且为红节点

依据红黑树的性质4可知:红色节点不可能相连 => 祖父节点肯定为黑节点。因为不可以同时存在两个相连的红节点,那么此时该插入的子树的红黑层数的情况是:黑红红,显然最简单的处理方式是把其改为:红黑红

  • 将P和U节点改为黑色。
  • 将PP节点改为红色
  • 将pp设置为当前处理节点,进行后续处理。

image.png

从上图我们可以看到,我们将pp节点设为红色了,如果pp的父节点是黑色,那么无需再做任何处理,但是如果pp节点的父节点是红色,则违反红黑树的性质了,所以需要将pp节点设置为当前处理节点,继续做插入操作之后的自平衡处理,直到平衡为止。

2.插入场景4.2:叔叔节点不存在或者为黑节点,并且插入节点的父亲节点是祖父节点的左子节点。

注意:单纯从插入前来看,叔叔节点非红即空(NIL节点),否则的话破坏了红黑树的性质,此路径会比其他路径多一个黑色节点。

image.png

插入场景4.2.1:新插入节点,为其父节点的左子节点(LL红色情况)

image.png

处理:

  • 变颜色:将p设置为黑色,将pp设置为红色。
  • 对pp节点进行右旋。

image.png

右旋如下动图所示:

右旋.gif

插入情景4.2.2:新插入节点,为其父节点的右子节点(LR红色情况)

image.png

处理:

  • 对p进行左旋
  • 将p设置为当前节点,得到LL红色情况
  • 按照上面的LL红色情况处理(1.变色 2.右旋pp)

image.png

3.插入场景4.3:叔叔结点不存在或为黑结点,并且插入结点的父亲结点是祖父结点的右子结点

该情景对应情景4.2,只是方向反转,直接看图。

image.png

插入情景4.3.1:新插入节点,为其父节点的右子节点(RR红色情况)

image.png

处理:

  • 1.变颜色:将P设置为黑色,将PP设置为红色

  • 2.对PP节点进行左旋

image.png

左旋如下动图所示:

左旋.gif

插入情景4.3.2:新插入节点,为其父节点的左子节点(RL红色情况)

image.png

处理:

  • 1.对P进行右旋
  • 2.将P设置为当前节点,得到RR红色情况
  • 3.按照RR红色情况处理(1.变颜色 2.左旋PP)

image.png

插入案例

image.png

手写红黑树

废话不多说,直接上代码,如下:

1.RBTree类如下:

package java1.demo;

/**
 * ClassName: RBTree
 * ①创建RBTree,定义颜色
 * ②创建RBNode
 * ③辅助方法定义:parentOf(node),isRed(node),setRed(node),setBlack(node),inOrderPrint(RBNode tree)
 * ④左旋方法定义:leftRotate(node)
 * ⑤右旋方法定义:rightRotate(node)
 * ⑥公开插入接口方法定义:insert(K key, V value);
 * ⑦内部插入接口方法定义:insert(RBNode node);
 * ⑧修正插入导致红黑树失衡的方法定义:insertFIxUp(RBNode node);
 * ⑨测试红黑树正确性
 * @author huangshuai
 */
public class RBTree <K extends Comparable<K>, V> {
    //定义颜色常量
    private static final boolean RED = true;
    private static final boolean BLACK = false;

    //红黑树的树根
    private RBNode root;

    public RBNode getRoot() {
        return root;
    }

    /**
     * 公开的插入接口
     * @param key 键
     * @param value 值
     */
    public void insert(K key, V value) {
        RBNode node = new RBNode();
        node.setKey(key);
        node.setValue(value);
        node.setColor(RED);
        insert(node);
    }

    /**
     * 内部插入接口定义
     */
    private void insert(RBNode node) {
        //1.找到插入的位置,二分查找
        RBNode parent = null;
        RBNode x = this.root;
        while(x != null) {
            parent = x;

            //a > b 则返回 1,否则返回 -1 ,相等返回0
            int cmp = node.key.compareTo(parent.key);

            if(cmp < 0) {
                x = x.left;
            } else if(cmp == 0) {
                //替换操作
                parent.setValue(node.value);
                return;
            } else {
                x = x.right;
            }
        }

        node.parent = parent;

        if(parent != null) {
            if(node.key.compareTo(parent.key) < 0) {
                parent.left = node;
            } else {
                parent.right = node;
            }
        } else {
            this.root = node;
        }

        //插入之后需要进行修复红黑树,让红黑树再次平衡。
        insertFixUp(node);
    }


    /**
     * 插入后修复红黑树平衡的方法
     *     |---情景1:红黑树为空树
     *     |---情景2:插入节点的key已经存在
     *     |---情景3:插入节点的父节点为黑色
     *
     *     情景4 需要咱们去处理
     *     |---情景4:插入节点的父节点为红色
     *          |---情景4.1:叔叔节点存在,并且为红色(父-叔 双红),将爸爸和叔叔染色为黑色,将爷爷染色为红色,并且再以爷爷节点为当前节点,进行下一轮的处理
     *          |---情景4.2:叔叔节点不存在,或者为黑色,父节点为爷爷节点的左子树
     *               |---情景4.2.1:插入节点为其父节点的左子节点(LL情况),将爸爸染色为黑色,将爷爷染色为红色,然后以爷爷节点右旋,就完成了
     *               |---情景4.2.2:插入节点为其父节点的右子节点(LR情况),以爸爸节点进行一次左旋,得到LL双红的情景(4.2.1),然后见指定爸爸节点为当前节点进行下一轮处理
     *          |---情景4.3:叔叔节点不存在,或者为黑色,父节点为爷爷节点的右子树
     *               |---情景4.3.1:插入节点为其父节点的右子节点(RR情况),将爸爸染色为黑色,将爷爷染色为红色,然后以爷爷节点左旋,就完成了
     *               |---情景4.3.2:插入节点为其父节点的左子节点(RL情况),以爸爸节点进行一次由右旋,得到LL双红的情景(4.3.1),然后见指定爸爸节点为当前节点进行下一轮处理
     */
    private void insertFixUp(RBNode node) {
        RBNode parent = parentOf(node);
        RBNode gparent = parentOf(parent);
        //存在父节点且父节点为红色
        if(parent != null && isRed(parent)) {
            //父节点是红色的,那么一定存在爷爷节点

            //父节点为爷爷节点的左子树
            if(parent == gparent.left) {
                RBNode uncle = gparent.right;
                //4.1:叔叔节点存在,并且为红色(父-叔 双红)
                //将父和叔染色为黑色,再将爷爷染红,并将爷爷设置为当前节点,进入下一次循环判断
                if(uncle != null && isRed(uncle)) {
                    setBlack(parent);
                    setBlack(uncle);
                    setRed(gparent);
                    //并将爷爷设置为当前节点,进入下一次循环判断
                    insertFixUp(gparent);
                    return;
                }

                //叔叔节点不存在,或者为黑色,父节点为爷爷节点的左子树
                if(uncle == null || isBlack(uncle)) {
                    //插入节点为其父节点的右子节点(LR情况)=>
                    //左旋(父节点),当前节点设置为父节点,进入下一次循环
                    if(node == parent.right) {
                        leftRotate(parent);
                        insertFixUp(parent);
                        return;
                    }

                    //插入节点为其父节点的左子节点(LL情况)=>
                    //变色(父节点变黑,爷爷节点变红),右旋爷爷节点
                    if(node == parent.left) {
                        setBlack(parent);
                        setRed(gparent);
                        rightRotate(gparent);
                    }
                }

            } else {//父节点为爷爷节点的右子树
                RBNode uncle = gparent.left;
                //4.1:叔叔节点存在,并且为红色(父-叔 双红)
                //将父和叔染色为黑色,再将爷爷染红,并将爷爷设置为当前节点,进入下一次循环判断
                if(uncle != null && isRed(uncle)) {
                    setBlack(parent);
                    setBlack(uncle);
                    setRed(gparent);
                    insertFixUp(gparent);
                    return;
                }

                //叔叔节点不存在,或者为黑色,父节点为爷爷节点的右子树
                if(uncle == null || isBlack(uncle)) {
                    //插入节点为其父节点的左子节点(RL情况)
                    //右旋(父节点)得到RR情况,当前节点设置为父节点,进入下一次循环
                    if(node == parent.left) {
                        rightRotate(parent);
                        insertFixUp(parent);
                        return;
                    }

                    //插入节点为其父节点的右子节点(RR情况)=>
                    //变色(父节点变黑,爷爷节点变红),右旋爷爷节点
                    if(node == parent.right) {
                        setBlack(parent);
                        setRed(gparent);
                        leftRotate(gparent);
                    }
                }

            }
        }

        setBlack(this.root);
    }


    /**
     * 左旋方法
     * 左旋示意图:左旋x节点
     *    p                   p
     *    |                   |
     *    x                   y
     *   / \         ---->   / \
     *  lx  y               x   ry
     *     / \             / \
     *    ly  ry          lx  ly
     *
     * 左旋做了几件事?
     * 1.将y的左子节点赋值给x的右边,并且把x设置为y的左子节点的父节点
     * 2.将x的父节点(非空时)指向y,更新y的父节点为x的父节点
     * 3.将y的左子节点指向x,更新x的父节点为y
     */
    private void leftRotate(RBNode x) {
        RBNode y = x.right;
        //将y的左子节点赋值给x的右边
        x.right = y.left;
        //并且把x设置为y的左子节点的父节点
        if(y.left != null) {
            y.left.parent = x;
        }

        //将x的父节点(非空时)指向y
        if(x.parent != null) {
            //如果x是parent左子树,则把y安放到parent的左边
            if(x.parent.left == x) {
                x.parent.left = y;
            } else {//否则把y安放到parent的右边
                x.parent.right = y;
            }
            //更新y的父节点为x的父节点
            y.parent = x.parent;
        } else {
            this.root = y;
            this.root.parent = null;
        }

        y.left = x;
        x.parent = y;
    }


    /**
     * 右旋方法
     * 右旋示意图:右旋y节点
     *
     *    p                       p
     *    |                       |
     *    y                       x
     *   / \          ---->      / \
     *  x   ry                  lx  y
     * / \                         / \
     *lx  ly                      ly  ry
     *
     * 右旋都做了几件事?
     * 1.将x的右子节点 赋值 给了 y 的左子节点,并且更新x的右子节点的父节点为 y
     * 2.将y的父节点(不为空时)指向x,更新x的父节点为y的父节点
     * 3.将x的右子节点指向y,更新y的父节点为x
     */
    private void rightRotate(RBNode y) {
        //1.将x的右子节点赋值给y的左子节点,并将y赋值给x右子节点的父节点(x右子节点非空时)
        RBNode x = y.left;
        y.left = x.right;
        if(x.right != null) {
            x.right.parent = y;
        }

        //2.将y的父节点p(非空时)赋值给x的父节点,同时更新p的子节点为x(左或右)
        x.parent = y.parent;

        if(y.parent != null) {
            if(y.parent.left == y) {
                y.parent.left = x;
            } else {
                y.parent.right = x;
            }
        } else {
            this.root = x;
            this.root.parent = null;
        }

        //3.将x的右子节点赋值为y,将y的父节点设置为x
        x.right = y;
        y.parent = x;
    }


    /**
     * 获取当前节点的父节点
     */
    private RBNode parentOf(RBNode node) {
        if(node != null) {
            return node.parent;
        }
        return null;
    }

    /**
     * node节点是否为红色
     * @return boolean true 表示是红色  false 表示不是红色
     */
    private boolean isRed(RBNode node) {
        if(node != null) {
            return node.isColor() == RED;
        }
        return false;
    }

    /**
     * 设置节点为红色
     */
    private void setRed(RBNode node) {
        if(node != null) {
            node.setColor(RED);
        }
    }

    /**
     * 设置节点为黑色
     */
    private void setBlack(RBNode node) {
        if(node != null) {
            node.setColor(BLACK);
        }
    }

    /**
     * 中序打印,可以将二叉查找树有顺序的打印出来
     */
    public void inOrderPrint() {
        if(this.root != null) {
            inOrderPrint(this.root);
        }
    }

    private void inOrderPrint(RBNode node) {
        if(node != null) {
            inOrderPrint(node.left);
            System.out.println("key -> " + node.key + ", value -> " + node.value);
            inOrderPrint(node.right);
        }
    }


    /**
     * node节点是否为黑色
     * @return boolean true 表示是黑色  false 表示不是黑色
     */
    private boolean isBlack(RBNode node) {
        if(node != null) {
            return node.isColor() == BLACK;
        }
        return false;
    }




    /**
     * 红黑树Node
     */
    static class RBNode<K extends Comparable<K>, V> {
        //颜色
        private boolean color;
        //左子节点
        private RBNode left;
        //右子节点
        private RBNode right;
        //父节点
        private RBNode parent;
        //key
        private K key;
        //value
        private V value;

        public RBNode(boolean color, RBNode left, RBNode right, RBNode parent, K key, V value) {
            this.color = color;
            this.left = left;
            this.right = right;
            this.parent = parent;
            this.key = key;
            this.value = value;
        }

        public RBNode() {
        }

        public boolean isColor() {
            return color;
        }

        public void setColor(boolean color) {
            this.color = color;
        }

        public RBNode getLeft() {
            return left;
        }

        public void setLeft(RBNode left) {
            this.left = left;
        }

        public RBNode getRight() {
            return right;
        }

        public void setRight(RBNode right) {
            this.right = right;
        }

        public RBNode getParent() {
            return parent;
        }

        public void setParent(RBNode parent) {
            this.parent = parent;
        }

        public K getKey() {
            return key;
        }

        public void setKey(K key) {
            this.key = key;
        }

        public V getValue() {
            return value;
        }

        public void setValue(V value) {
            this.value = value;
        }
    }


    /*****************************************************************************
     * Print Method
     *****************************************************************************/



    public void padding ( String ch, int n ) {
        int i;
        for ( i = 0; i < n; i++ )
            System.out.printf(ch);

    }

    void print_node (RBNode root, int level ) {
        if ( root == null ) {
            padding ( "\t", level );
            System.out.println( "NIL" );

        } else {
            print_node ( root.right, level + 1 );
            padding ( "\t", level );
            if(root.color == BLACK) {
                System.out.printf(root.key + "(" + (root.isColor() ? "红" : "黑") +")" + "\n");
            } else
                System.out.printf(root.key  + "(" + (root.isColor() ? "红" : "黑") +")" + "\n");
            print_node ( root.left, level + 1 );
        }
    }

    void print_tree() {
        print_node(this.root,0);
        System.out.printf("-------------------------------------------\n");
    }
}

2.TreeOperation类如下:

/**
 * 重点!!!说在前面, 红黑树 测试 2,4,6,8,10,12,14...就不平衡了...
 *         这里说下原因:因为考虑的并没那么多 我比对节点大小时 直接使用的是    node.key.compareTo(parent.key);
 *         这个其实是按照字符串比对的! 所以,大家尽量使用 a,b,c,d,e,f,g,h,i...这种风格去测试...
 *         或者自己改改这块的逻辑,可以去参考HashMap的实现去改。
 */
public class TreeOperation {
      /*
    树的结构示例:
              1
            /   \
          2       3
         / \     / \
        4   5   6   7
    */

    // 用于获得树的层数
    public static int getTreeDepth(RBTree.RBNode root) {
        return root == null ? 0 : (1 + Math.max(getTreeDepth(root.getLeft()), getTreeDepth(root.getRight())));
    }


    private static void writeArray(RBTree.RBNode currNode, int rowIndex, int columnIndex, String[][] res, int treeDepth) {
        // 保证输入的树不为空
        if (currNode == null) return;
        // 先将当前节点保存到二维数组中
        res[rowIndex][columnIndex] = String.valueOf(currNode.getKey() + "-" + (currNode.isColor() ? "R" : "B") + "");

        // 计算当前位于树的第几层
        int currLevel = ((rowIndex + 1) / 2);
        // 若到了最后一层,则返回
        if (currLevel == treeDepth) return;
        // 计算当前行到下一行,每个元素之间的间隔(下一行的列索引与当前元素的列索引之间的间隔)
        int gap = treeDepth - currLevel - 1;

        // 对左儿子进行判断,若有左儿子,则记录相应的"/"与左儿子的值
        if (currNode.getLeft() != null) {
            res[rowIndex + 1][columnIndex - gap] = "/";
            writeArray(currNode.getLeft(), rowIndex + 2, columnIndex - gap * 2, res, treeDepth);
        }

        // 对右儿子进行判断,若有右儿子,则记录相应的""与右儿子的值
        if (currNode.getRight() != null) {
            res[rowIndex + 1][columnIndex + gap] = "\";
            writeArray(currNode.getRight(), rowIndex + 2, columnIndex + gap * 2, res, treeDepth);
        }
    }


    /**
     * 打印红黑树结构的方法
     */
    public static void show(RBTree.RBNode root) {
        if (root == null) System.out.println("EMPTY!");
        // 得到树的深度
        int treeDepth = getTreeDepth(root);

        // 最后一行的宽度为2的(n - 1)次方乘3,再加1
        // 作为整个二维数组的宽度
        int arrayHeight = treeDepth * 2 - 1;
        int arrayWidth = (2 << (treeDepth - 2)) * 3 + 1;
        // 用一个字符串数组来存储每个位置应显示的元素
        String[][] res = new String[arrayHeight][arrayWidth];
        // 对数组进行初始化,默认为一个空格
        for (int i = 0; i < arrayHeight; i ++) {
            for (int j = 0; j < arrayWidth; j ++) {
                res[i][j] = " ";
            }
        }

        // 从根节点开始,递归处理整个树
        // res[0][(arrayWidth + 1)/ 2] = (char)(root.val + '0');
        writeArray(root, 0, arrayWidth/ 2, res, treeDepth);

        // 此时,已经将所有需要显示的元素储存到了二维数组中,将其拼接并打印即可
        for (String[] line: res) {
            StringBuilder sb = new StringBuilder();
            for (int i = 0; i < line.length; i ++) {
                sb.append(line[i]);
                if (line[i].length() > 1 && i <= line.length - 1) {
                    i += line[i].length() > 4 ? 2: line[i].length() - 1;
                }
            }
            System.out.println(sb.toString());
        }
    }
}

3.测试类如下:

public class TestRBTree {
    public static void main(String[] args) {
        RBTree<String, Object> rbt = new RBTree();
        //测试输入:ijkgefhdabc
        while(true) {
            Scanner sc = new Scanner(System.in);
            System.out.println("请输入key:");
            String key = sc.next();

            rbt.insert(key, null);
            TreeOperation.show(rbt.getRoot());
        }
    }
}