[路飞]_leetcode-86-分隔链表

279 阅读2分钟

「这是我参与11月更文挑战的第23天,活动详情查看:2021最后一次更文挑战

[题目地址] [B站地址]

给你一个链表的头节点 head 和一个特定值 **x ,请你对链表进行分隔,使得所有 小于 x 的节点都出现在 大于或等于 x 的节点之前。

你应当 保留 两个分区中每个节点的初始相对位置。

示例 1:

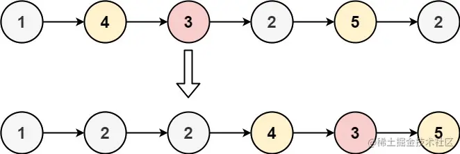
输入: head = [1,4,3,2,5,2], x = 3
输出:[1,2,2,4,3,5]

示例 2:

输入: head = [2,1], x = 2
输出:[1,2]

提示:

  • 链表中节点的数目在范围 [0, 200] 内
  • -100 <= Node.val <= 100
  • -200 <= x <= 200

本题需要我们将链表根据给定值拆分两个分区,并且分区中的节点的相对位置应保留之前的相对位置

首先,当给定链表为空链表或者只有一个节点的时候,此时无法进行分隔,直接返回原链表即可

如果输入链表节点数量大于 1,则需要将输入链表中的节点按给定值 x 进行分区

最后将分区后存储大于等于 x 的节点的链表连接到存储小于 x 的链表的后边

最后返回结果链表即可

完成解题思路如下:

  1. 特殊判断链表为空或者只有一个节点,直接返回原链表
  2. 创建 smallHead 虚拟头节点存储值小于 x 的节点组成的链表
  3. 创建 bigHead 虚拟头节点存储值大于等于 x 的节点组成的链表
  4. 遍历输入两边,判断当前节点的值是否小于 x,如果成立,则将该节点连接到 smallHead 链表的末尾,反之连接到 bigHead 链表的末尾
  5. bigHead 链表末尾节点的 next 指针指向 null,防止结果链表成环
  6. bigHead 链表连接到 smallHead 链表的末尾
  7. 返回 smallHead.next 即可

整体过程如下:

leetcode-86. 分隔链表.gif

代码如下:

var partition = function(head, x) {
  // 特判链表为空或者只有一个节点,直接返回
  if(head === null || head.next === null) return head;
  // 创建虚拟头节点,存储小于X的节点组成的链表
  const smallHead = new ListNode(0),
  // 创建虚拟头节点,存储不小于X的节点组成的链表
  bigHead = new ListNode(0);
  let smallTail = smallHead,
  bigTail = bigHead,
  cur = head;
  // 遍历链表
  while(cur){
    // 如果该节点值小于X,将它连接到较小链表的末尾
    if(cur.val<x){
      smallTail.next = cur;
      smallTail = smallTail.next;
    }else{
      // 反之连接到较大链表的末尾
      bigTail.next = cur;
      bigTail = bigTail.next;
    }
    cur = cur.next;
  }
  // 将较大链表末尾节点 next 指向 null,防止结果链表成环
  bigTail.next = null;
  // 将较大链表连接到较小链表的后面
  smallTail.next = bigHead.next;
  // 返回较小链表虚拟头节点的 next
  return smallHead.next;
};

至此我们就完成了 leetcode-86-分隔链表

如有任何问题或建议,欢迎留言讨论!