LeetCode刷题挑战-javascript:112.路径总和

175 阅读1分钟

R-C.jpeg

「这是我参与11月更文挑战的第27天,活动详情查看:2021最后一次更文挑战

题目

给你二叉树的根节点 root 和一个表示目标和的整数 targetSum ,判断该树中是否存在 根节点到叶子节点 的路径,这条路径上所有节点值相加等于目标和 targetSum 。

叶子节点 是指没有子节点的节点。

 

示例 1:

image.png

输入:root = [5,4,8,11,null,13,4,7,2,null,null,null,1], targetSum = 22

输出:true

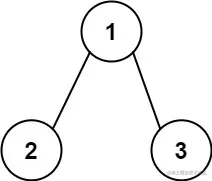
示例 2:

image.png

输入:root = [1,2,3], targetSum = 5

输出:false

示例 3:

输入:root = [1,2], targetSum = 0

输出:false  

提示:

  • 树中节点的数目在范围 [0, 5000] 内
  • -1000 <= Node.val <= 1000
  • -1000 <= targetSum <= 1000

解题思路

方法一:#DFS(递归)

思路: 将问题转化为,当前节点的子节点到叶子节点的路径和是否等于targetSum - root.val。递归遍历到叶子节点为止。

递归分析:

  • 终止条件:当前节点为null,返回false;当前节点为叶子节点,判断sum是否等于val
  • 递归推进:递归判断左右子节点,返回结果
/**
 * Definition for a binary tree node.
 * function TreeNode(val, left, right) {
 *     this.val = (val===undefined ? 0 : val)
 *     this.left = (left===undefined ? null : left)
 *     this.right = (right===undefined ? null : right)
 * }
 */
/**
 * @param {TreeNode} root
 * @param {number} targetSum
 * @return {boolean}
 */
var hasPathSum = function (root, targetSum) {
  if (!root) {
    return false;
  }

  if (!root.left && !root.right) {
    return root.val === targetSum;
  }

  return hasPathSum(root.left, targetSum - root.val) || hasPathSum(root.right, targetSum - root.val);
};

复杂度分析:

  • 时间复杂度O(N):其中 N 是树的节点数。对每个节点访问一次。

  • 空间复杂度O(H):其中 HH 是树的高度。空间复杂度主要取决于递归时栈空间的开销,最坏情况下,树呈现链状,空间复杂度为 O(N)。平均情况下树的高度与节点数的对数正相关,空间复杂度为 O(logN)。

方法二:BFS(队列或栈)

思路: 进行广度优先遍历,使用两个队列,一个队列用于保存节点,一个队列用于保存对应节点到根节点的路径和。如果当前节点是叶子节点,则判断路径和是否等于sum。(使用栈也一样,只不过顺序不同而已,队列先遍历左子树,栈先遍历右子树)

var hasPathSum = function(root, targetSum) {
    if(root == null){
        return false;
    }
    var queue1 = [root];
    var queue2 = [root.val];
    while(queue1.length !== 0){
        var node = queue1.shift();
        var rootVal = queue2.shift();
        if(node.left == null && node.right == null && rootVal == targetSum){
            return true;
        }
        if(node.left){
            queue1.push(node.left);
            queue2.push(node.left.val + rootVal);
        }
        if(node.right){
            queue1.push(node.right);
            queue2.push(node.right.val + rootVal);
        }
    }
    return false;
};

复杂度分析:

  • 时间复杂度O(N):其中 N 是树的节点数。对每个节点访问一次。

  • 空间复杂度O(N):其中 N 是树的节点数。空间复杂度主要取决于队列的开销,队列中的元素个数不会超过树的节点数。

结束语

这里是小葵🌻,只要把心朝着太阳的地方,就会有温暖~

让我们一起来攻克算法难关吧!!