前端必刷算法题: “ 环形链表”

263 阅读2分钟

这是我参与11月更文挑战的第24天,活动详情查看:2021最后一次更文挑战

题目

给你一个链表的头节点 head ,判断链表中是否有环。

如果链表中有某个节点,可以通过连续跟踪 next 指针再次到达,则链表中存在环。 为了表示给定链表中的环,评测系统内部使用整数 pos 来表示链表尾连接到链表中的位置(索引从 0 开始)。如果 pos 是 -1,则在该链表中没有环。注意:pos 不作为参数进行传递,仅仅是为了标识链表的实际情况。

如果链表中存在环,则返回 true 。 否则,返回 false 。

 

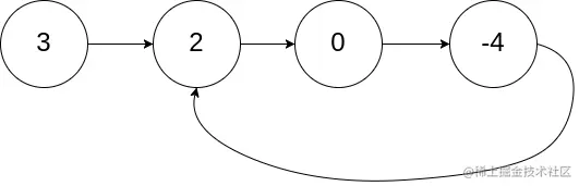
示例 1:

image.png

输入:head = [3,2,0,-4], pos = 1

输出:true

解释:链表中有一个环,其尾部连接到第二个节点。

示例 2:

image.png

输入:head = [1,2], pos = 0

输出:true

解释:链表中有一个环,其尾部连接到第一个节点。

示例 3:

image.png

输入:head = [1], pos = -1

输出:false

解释:链表中没有环。  

提示:

链表中节点的数目范围是 [0, 104]

-105 <= Node.val <= 105

pos 为 -1 或者链表中的一个 有效索引 。

解法

解题思路

1.两个人在圆形操场上的七点同时起跑,速度快的人一定会超过速度慢的人一圈

2.用一快一慢两个指针遍历链表,如果指针能够相逢,那么链表就有圈

解题过程

1.用一快一慢两个指针遍历链表,如果指针能够相逢,那么就返回true

2.遍历结束后,还没有相逢就返回false

/**
 * Definition for singly-linked list.
 * function ListNode(val) {
 *     this.val = val;
 *     this.next = null;
 * }
 */

/**
 * @param {ListNode} head
 * @return {boolean}
 */
var hasCycle = function(head) {
    let p1 = head
    let p2 = head
    while(p1 && p2 && p2.next) {
        // 假设p1跑得快,p1跑一步,p2跑两步
        p1 = p1.next
        p2 = p2.next.next
        if(p1 === p2) {
            return true
        }
    }
    return false 
};