微信Android客户端的卡顿监控方案

891 阅读6分钟

文章开始,先聊一聊卡顿与ANR的关系:产生卡顿的根本原因是UI线程不能够及时的进行渲染,导致UI的反馈不能按照用户的预期,连续、一致的呈现。产生卡顿的原因多种多样,很难一一列举,而ANR是Google人为规定的概念,产生ANR的原因最多也只有四个。

一方面,两者息息相关,事实上,长时间的UI卡顿是导致ANR最常见的原因;但另一方面,从原理上来看,两者既不充分也不必要,是两个维度的概念。

而市面上的一些卡顿监控工具,经常被拿来监控ANR(卡顿阈值设置为5秒),这其实很不严谨:首先,5秒只是发生ANR的其中一种原因(Touch事件5秒未被及时消费)的阈值,而其他原因发生ANR的阈值并不是5秒;另外,就算是主线程卡顿了5秒,如果用户没有输入任何的Touch事件,同样是不会发生ANR的,更何况还有后台ANR等情况。所以使用包括下文提到的卡顿监控方案,来监控ANR都是不准确的,真正意义上的ANR监控方案下一篇文章会详细讨论。

一、WatchDog

这种方案的本质是开启一个子线程不断轮询UI线程,这是最容易理解,最简单粗暴的方法。这种方法甚至具有一定的普适性,iOS或者其他的客户端系统,都可以用类似的思路来监控卡顿。具体的原理和实现方法很简单:不断向UI线程发送Message,每隔一段时间检查一次刚刚发送的Message是否被处理,如果没有被处理,则说明这段时间主线程被卡住了。这种方案在一些著名的APM上有使用,微信几年前也使用过这种方案。

  • 优点:简单,稳定,结果论,可以监控到各种类型的卡顿
  • 缺点:轮询不优雅,不环保,有不确定性,随机漏报,

这种方法的轮询的时间间隔选择很重要,又让人左右为难,轮询的时间间隔越小,对性能的负面影响就越大,而时间间隔选择的越大,漏报的可能性也就越大。前者很容易理解,UI线程要不断处理我们发送的Message,必然会影响性能和功耗。而随机漏报的问题比较有趣,可以稍微展开聊聊。

以我们微信自己之前的方案为例,时间间隔选择了4.5秒(事实上,之前是想要通过这种方案来监控ANR,当然,上面提到过,这并不严谨),简单画个图:

image.png

每隔4.5秒,向主线程发送一个消息。现在有一个5秒的卡顿(红线部分)发生在第2秒,结束在第7秒,这种情况无论是在0-4.5秒的周期内,还是4.5-9秒的周期内,都有一段时间是不卡顿的,消息都可以被处理掉,这种情况自然就无法被监控到。如果有兴趣,我们甚至可以算出一个概率:

image.png

其中x代表卡顿的时间,a代表设置的轮询间隔,可以计算出来:如果轮询间隔设置为4.5秒,发现一个5秒的卡顿的概率仅为20%。有的开源库例如ANR-WatchDog,默认轮询间隔为5秒,如果有一个8秒的卡顿(8秒已经很容易产生ANR),被发现的概率也只有8/5-1=60%。另外从这个概率公式还可以发现,对于一个固定的轮询间隔,只有卡顿时间大于两倍的轮询间隔,才能百分之百被监控到,例如想要百分之百监控到4秒以上的卡顿,轮询间隔必须要设置成2秒或者更短。

如果不断缩小轮询的间隔呢?我们所知的有些方案,是用更短的轮询时间,连续几个周期消息都没被处理才视为一次卡顿,例如:每2秒轮询一次,如果连续三次消息都没被处理,则认为发生了卡顿,这种方案我们可以再画个图:

image.png

这种情况其实是第一种情况的更一般的情况,我们同样可以算出一个概率:

image.png

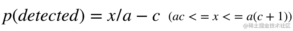
其中x代表卡顿的时间,a代表设置的轮询间隔,c表示连续几次周期没处理消息才认为发生了卡顿。再举个例子:如果设置轮询间隔为2秒,连续3次没处理消息就认为发生了卡顿,那么对于7秒的卡顿,被监控到的概率为7/2-3=33.3%。

我们可以写一段测试程序,模拟上面那些情况,尝试不断在随机的时间点触发一次sleep,检查是否监控到了卡顿。结果基本上大概进行十次左右,实验得出的频率就很常接近公式算出的概率了

二、Looper Printer

替换主线程Looper的Printer,从而监控dispatchMessage的执行时间。这方案也比较常见,微信本身(Matrix)也在线上也使用了这种方案,而且已经稳定运行了很长时间。我们之前也了解到,手Q的Android客户端也在使用这种方案。

(甚至,在Android源码中,主线程Looper也会根据执行dispatchMessage的时间来判断是否有卡顿,有则会打印一些日志)

  • 优点:不会随机漏报,无需轮询,一劳永逸
  • 缺点:某些类型的卡顿无法被监控到

其原理也很容易理解,以下是Looper的部分关键代码,frameworks/base/core/java/android/os/Looper.java:

for (;;) {
    Message msg = queue.next(); // might block

    // This must be in a local variable, in case a UI event sets the logger
    final Printer logging = me.mLogging;
    if (logging != null) {
        logging.println(">>>>> Dispatching to " + msg.target + " " +
                msg.callback + ": " + msg.what);
    }

    msg.target.dispatchMessage(msg);

    if (logging != null) {
        logging.println("<<<<< Finished to " + msg.target + " " + msg.callback);
    }
}

无论是通过反射替换Looper的mLogging还是通过setMessageLogging设置printer,我们只需要替换主线程Looper的printer对象,通过计算执行dispatchMessage方法之后和之前打印字符串的时间的差值,就可以拿到到dispatchMessage方法执行的时间。而大部分的主线程的操作最终都会执行到这个dispatchMessage方法中。

为什么说是大部分?因为有些情况的卡顿,这种方案从原理上就无法监控到。看到上面的queue.next(),这里给了注释:might block,直接跟你说这里是可能会卡住的,这时候再计算dispatchMessage方法的耗时显然就没有意义了。有的同学可能会想,那我改成计算相邻两次dispatchMessage执行之前打印字符串的时间差值不就好了?这样就可以把next方法的耗时也计算在内。不幸的是,主线程空闲时,也会阻塞在MessageQueuenext方法中,我们很难区分究竟是发生了卡顿还是主线程空闲。

如果排除主线程空闲的情况,究竟会是什么原因会卡在MessageQueuenext方法中呢?下图是next方法简化过后的源码,frameworks/base/core/java/android/os/MessageQueue.java:

for (;;) {
    if (nextPollTimeoutMillis != 0) {
        Binder.flushPendingCommands();
    }

    nativePollOnce(ptr, nextPollTimeoutMillis);

    //......

    // Run the idle handlers.
    // We only ever reach this code block during the first iteration.
    for (int i = 0; i < pendingIdleHandlerCount; i++) {
        final IdleHandler idler = mPendingIdleHandlers[i];
        mPendingIdleHandlers[i] = null; // release the reference to the handler

        boolean keep = false;
        try {
            keep = idler.queueIdle();
        } catch (Throwable t) {
            Log.wtf(TAG, "IdleHandler threw exception", t);
        }

        if (!keep) {
            synchronized (this) {
                mIdleHandlers.remove(idler);
            }
        }
    }
    //......
}

除了主线程空闲时就是阻塞在nativePollOnce之外,非常重要的是,应用的Touch事件也是在这里被处理的。这就意味着,View的TouchEvent中的卡顿这种方案是无法监控的。然而,对于我们来说,微信中有大量的自定义View,这些View中充满了各种各样很多的onTouch回调,卡在这里面的情况非常普遍,这种情况的卡顿监控不到是很难接受的。

另外一种常见的情况是IdleHandler**的queueIdle()回调方法也是无法被监控的,这个方法会在主线程空闲的时候被调用。然而实际上,很多开发同学都先入为主的认为这个时候反正主线程空闲,做一些耗时操作也没所谓。其实主线程MessageQueue的queueIdle默认当然也是执行在主线程中,所以这里的耗时操作其实是很容易引起卡顿和ANR的。例如微信之前就使用IdleHandler在进入微信的主界面后,做一些读写文件的IO操作,就造成了一些卡顿和ANR问题。

还有一类相对少见的问题是SyncBarrier(同步屏障)的泄漏同样无法被监控到,当我们每次通过invalidate来刷新UI时,最终都会调用到ViewRootImpl中的scheduleTraversals方法,会向主线程的Looper中post一个SyncBarrier,其目的是为了在刷新UI时,主线程的同步消息都被跳过,此时渲染UI的异步消息就可以得到优先处理。但是我们注意到这个方法是线程不安全的,如果在非主线程中调用到了这里,就有可能会同时post多个SyncBarrier,但只能remove掉最后一个,从而有一个SyncBarrier就永远无法被remove,就导致了主线程Looper无法处理同步消息(Message默认就是同步消息),导致卡死,参考源码frameworks/base/core/java/android/view/ViewRootImpl.java:

void scheduleTraversals() {
    if (!mTraversalScheduled) {
        mTraversalScheduled = true;
        mTraversalBarrier = mHandler.getLooper().getQueue().postSyncBarrier();
        mChoreographer.postCallback(
                Choreographer.CALLBACK_TRAVERSAL, mTraversalRunnable, null);
        notifyRendererOfFramePending();
        pokeDrawLockIfNeeded();
    }
}

void unscheduleTraversals() {
    if (mTraversalScheduled) {
        mTraversalScheduled = false;
        mHandler.getLooper().getQueue().removeSyncBarrier(mTraversalBarrier);
        mChoreographer.removeCallbacks(
                Choreographer.CALLBACK_TRAVERSAL, mTraversalRunnable, null);
    }
}

我们认为Looper Printer方案总体还是比较理想的,那么,既然该方案监控不到这三种卡顿的情况,我们想能不能通过其他的一些手段,专门监控这些卡顿的case呢?下面分别针对这三种情况,提出了三种对应的监控方法。

三、完善卡顿监控方案

3.1. 监控IdleHandler卡顿

首先从简单的下手,对于IdleHandlerqueueIdle回调方法的监控。我们惊喜的发现MessageQueue中的mIdleHandlers是可以被反射的,这个变量保存了所有将要执行的IdleHandler,我们只需要把ArrayList类型的mIdleHandlers,通过反射,替换为MyArrayList,在我们自定义的MyArrayList中重写add方法,再将我们自定义的MyIdleHandler添加到MyArrayList中,就完成了“偷天换日”。从此之后MessageQueue每次执行queueIdle回调方法,都会执行到我们的MyIdleHandler中的的queueIdle方法,就可以在这里监控queueIdle的执行时间了。

private static void detectIdleHandler() {
    try {
        MessageQueue mainQueue = Looper.getMainLooper().getQueue();
        Field field = MessageQueue.class.getDeclaredField("mIdleHandlers");
        field.setAccessible(true);
        MyArrayList<MessageQueue.IdleHandler> myIdleHandlerArrayList = new MyArrayList<>();
        field.set(mainQueue, myIdleHandlerArrayList);
    } catch (Throwable t) {
        t.printStackTrace();
    }
}

static class MyArrayList<T> extends ArrayList {
    Map<MessageQueue.IdleHandler, MyIdleHandler> map = new HashMap<>();

    @Override
    public boolean add(Object o) {
        if (o instanceof MessageQueue.IdleHandler) {
            MyIdleHandler myIdleHandler = new MyIdleHandler((MessageQueue.IdleHandler) o);
            map.put((MessageQueue.IdleHandler) o, myIdleHandler);
            return super.add(myIdleHandler);
        }
        return super.add(o);
    }

    @Override
    public boolean remove(@Nullable Object o) {
        if (o instanceof MyIdleHandler) {
            MessageQueue.IdleHandler idleHandler = ((MyIdleHandler) o).idleHandler;
            map.remove(idleHandler);
            return super.remove(o);
        } else {
            MyIdleHandler myIdleHandler = map.remove(o);
            if (myIdleHandler != null) {
                return super.remove(myIdleHandler);
            }
            return super.remove(o);
        }
    }
}

3.2. 监控TouchEvent卡顿

那么TouchEvent我们有什么办法监控吗?首先想到的可能是反射View的mListenerInfo,然后进一步替换其中的mTouchListenr,但是这需要我们枚举所有需要被监控的View,全部反射替换一遍,这完全是憨憨行为。那有没有更加根本,全局性的方法呢?

熟悉input系统的同学应该知道,Touch事件最终是通过server端的InputDispatcher线程传递给Client端的UI线程的,并且使用的是一对Socket进行通讯的。我们可以通过PLT Hook,去Hook这对Socket的send和recv方法来监控Touch事件啊!我们先捋一下一次Touch事件的处理过程:

[图片上传失败...(image-69bd7f-1637913620560)]

我们通过PLT Hook,成功hook到libinput.so中的recvfromsendto方法,使用我们自己的方法进行替换。当调用到了recvfrom时,说明我们的应用接收到了Touch事件,当调用到了sendto时,说明这个Touch事件已经被成功消费掉了,当两者的时间相差过大时即说明产生了一次Touch事件的卡顿。这种方案经过验证是可行的!

3.3. 监控SyncBarrier泄漏

最后,SyncBarrier泄漏的问题,有什么好办法能监控到吗?目前我们的方案是不断轮询主线程LooperMessageQueuemMessage(也就是主线程当前正在处理的Message)。而SyncBarrier本身也是一种特殊的Message,其特殊在它的target是null。如果我们通过反射mMessage,发现当前的Message的target为null,并且通过这个Message的when发现其已经存在很久了,这个时候我们合理怀疑产生了SyncBarrier的泄漏(但还不能完全确定,因为如果当时因为其他原因导致主线程卡死,也可能会导致这种现象),然后再发送一个同步消息和一个异步消息,如果异步消息被处理了,但是同步消息一直无法被处理,这时候就说明产生了SyncBarrier的泄漏。如果激进一些,这个时候我们甚至可以反射调用MessageQueueremoveSyncBarrier方法,手动把这个SyncBarrier移除掉,从而从错误状态中恢复。下面代码展示了大概的原理:

MessageQueue mainQueue = Looper.getMainLooper().getQueue();
Field field = mainQueue.getClass().getDeclaredField("mMessages");
field.setAccessible(true);
Message mMessage = (Message) field.get(mainQueue);  //通过反射得到当前正在等待执行的Message
if (mMessage != null) {
    currentMessageToString = mMessage.toString();
    long when = mMessage.getWhen() - SystemClock.uptimeMillis();
    if (when < -3000 && mMessage.getTarget() == null) { //target == null则为sync barrier
        int token = mMessage.arg1;
        startCheckLeaking(token);
    }
}

private static void startCheckLeaking(int token) {
    int checkCount = 0;
    barrierCount = 0;
    while (checkCount < CHECK_STRICTLY_MAX_COUNT) {
        checkCount++;
        int latestToken = getSyncBarrierToken();
        if (token != latestToken) {     //token变了,不是同一个barrier,return
            break;
        }
        if (DetectSyncBarrierOnce()) {
            //发生了sync barrier泄漏
            removeSyncBarrier(token);   //手动remove泄漏的sync barrier
            break;
        }
        try {
            Thread.sleep(1000);
        } catch (InterruptedException e) {
            e.printStackTrace();
        }
    }
}

private static void removeSyncBarrier(int token) {
    MessageQueue mainQueue = Looper.getMainLooper().getQueue();
    Method method = mainQueue.getClass().getDeclaredMethod("removeSyncBarrier", int.class);
    method.setAccessible(true);
    method.invoke(mainQueue, token);
}

private static boolean DetectSyncBarrierOnce() {
    Handler mainHandler = new Handler(Looper.getMainLooper()) {
        @Override
        public void handleMessage(Message msg) {
            super.handleMessage(msg);
            if (msg.arg1 == 0) {
                barrierCount ++;    //收到了异步消息,count++
            } else if (msg.arg1 == 1) {
                barrierCount = 0;   //收到了同步消息,说明同步屏障不在, count设置为0
            }
        }
    };

    Message asyncMessage = Message.obtain();
    asyncMessage.setAsynchronous(true);
    asyncMessage.setTarget(mainHandler);
    asyncMessage.arg1 = 0;

    Message syncNormalMessage = Message.obtain(); 
    syncNormalMessage.arg1 = 1;

    mainHandler.sendMessage(asyncMessage);      //发送一个异步消息
    mainHandler.sendMessage(syncNormalMessage); //发送一个同步消息

    if(barrierCount > 3){
        return true;
    }
    return false;
}

坏消息是,这种方案只能监控到问题的产生,也可以直接解决问题,但是无法溯源问题究竟是哪个View导致的。其实我们也尝试过,通过插桩或者Java hook的方法,监控invalidate方法是否在非主线程中进行,但是考虑到风险以及对性能影响都比较大,没有在线上使用。所幸,通过监控发现,这个问题对我们来说,发生的概率并不高。如果发现某个场景下该问题确实较为严重,可以考虑使用插桩或者Java hook在测试环境下debug该问题。

以上,针对Looper Printer监控卡顿的方案无法监控到的三类问题,分别都提出了对应的监控方案。如此以来,就得到了一套比较完整的卡顿监控方案。

如果有任何问题和建议欢迎大家评论。之后的一篇文章会仔细讨论ANR的监控方案。

本文转自 www.androidos.net.cn/doc/2021/7/…,如有侵权,请联系删除。

相关视频

Android中高级进阶学习:抖音内存监控助力快速解决OOM问题