[路飞]_leetcode-19-删除链表的倒数第 N 个结点

1,599 阅读2分钟

「这是我参与11月更文挑战的第22天,活动详情查看:2021最后一次更文挑战

[题目地址] [B站地址]

给你一个链表,删除链表的倒数第 n **个结点,并且返回链表的头结点。

示例 1:

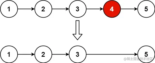
输入: head = [1,2,3,4,5], n = 2
输出: [1,2,3,5]

示例 2:

输入: head = [1], n = 1
输出: []

示例 3:

输入: head = [1,2], n = 1
输出: [1]

提示:

  • 链表中结点的数目为 sz
  • 1 <= sz <= 30
  • 0 <= Node.val <= 100
  • 1 <= n <= sz

进阶: 你能尝试使用一趟扫描实现吗?

本题并不难,只是在查找倒数第 n 个节点的基础上加了一个删除操作 解题思路如下:

  1. 根据题意可得,如果链表只有一个节点,那么此时 n 必然等于 1,那么删除倒数第一个节点之后的链表为空,所以特判如果链表只有一个节点,直接返回 null 即可
  2. 创建虚拟头节点,因为本题删除的节点有可能是头节点,所以创建虚拟头节点可以方便我们的操作,简化处理逻辑
  3. 定义三个指针 pre 指向虚拟头,targetnext 指向 head
  4. next 指针向后走 n
  5. pretargetnext 一起向后走,直到 next 指向 null,此时 target 指向倒数第 n 个节点
  6. pre 指针指向元素(也就是 target 前一个元素)的 next 指针指向 target.next 来达到从链表中删除 target 节点的目的
  7. 返回虚拟头节点的下一个节点即可

整体过程如下:

19. 删除链表的倒数第N个结点.gif

代码如下:

var removeNthFromEnd = function(head, n) {
  // 特判 如果链表只有一个节点,则 n 必然为1,此时删除倒数第一个节点后链表为空
  if(head.next === null) return null;
  // 创建虚拟头节点
  const vhead = new ListNode(0);
  vhead.next = head;
  // 定义三个指针
  let pre = vhead,
  target = head,
  next = head;
  // next向后走n步
  while(n){
    n--;
    next = next.next;
  }
  // 当next不为空的时候,三个指针一起向后走
  while(next){
    pre = pre.next;
    target = target.next;
    next = next.next;
  }
  // 此时target指向的就是倒数第n个节点
  // 通过将pre.next指向target.next的方法从链表中删除target
  pre.next = target.next;
  return vhead.next;
};

至此我们就完成了 leetcode-19-删除链表的倒数第 N 个结点

如有任何问题或建议,欢迎留言讨论!