[路飞]_leetcode-142-环形链表 II

311 阅读2分钟

「这是我参与11月更文挑战的第21天,活动详情查看:2021最后一次更文挑战

[题目地址] [B站地址]

给定一个链表,返回链表开始入环的第一个节点。 如果链表无环,则返回 null

如果链表中有某个节点,可以通过连续跟踪 next 指针再次到达,则链表中存在环。 为了表示给定链表中的环,评测系统内部使用整数 pos 来表示链表尾连接到链表中的位置(索引从 0 开始)。如果 pos 是 -1,则在该链表中没有环。注意:pos 不作为参数进行传递,仅仅是为了标识链表的实际情况。

不允许修改 链表。

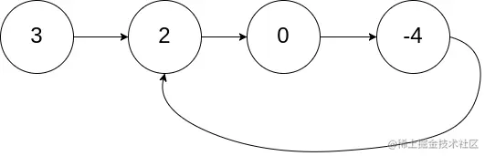
示例 1:

输入: head = [3,2,0,-4], pos = 1
输出: 返回索引为 1 的链表节点
解释: 链表中有一个环,其尾部连接到第二个节点。

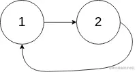
示例 2:

输入: head = [1,2], pos = 0
输出: 返回索引为 0 的链表节点
解释: 链表中有一个环,其尾部连接到第一个节点。

示例 3:

输入: head = [1], pos = -1
输出: 返回 null
解释: 链表中没有环。

提示:

  • 链表中节点的数目范围在范围 [0, 104] 内
  • -105 <= Node.val <= 105
  • pos 的值为 -1 或者链表中的一个有效索引

进阶: 你是否可以使用 O(1) 空间解决此题?

这个题很简答哈,解题思路如下:

  1. 首先需要特判链表为空的情况,如果链表为空,返回 null
  2. 遍历链表,如果当前节点没有标记,则加上标记,标记该节点遍历过
  3. 如果链表没有环,则整个遍历会走到链表末尾,返回 null 即可
  4. 如果链表有环,则会出现遍历到一个节点,该节点已经有了标记的情况,该节点就是入环的第一个节点,返回该节点即可

整体过程如下:

142. 环形链表 II.gif

代码如下:

var detectCycle = function(head) {
  // 如果是空链表,肯定没有环,返回 null
  if(head === null) return null;
  // 遍历链表
  while(head){
    // 如果该链表已经遍历过,返回该节点
    if(head.tag) return head;
    // 否则给节点加上标记
    head.tag = 'been'
    head = head.next;
  }
  // 如果遍历走到了链表末尾,返回 null
  return null;
};

至此我们就完成了 leetcode-142-环形链表 II

如有任何问题或建议,欢迎留言讨论!