地平线开发面经

391 阅读2分钟

项目相关

1. yolov5的网络结构

yolov5的网络结构分为 输入端->Backbone->Neck->prediction 它和yolov3相比主要不同的地方:

  1. 输入端:Mosaic数据增强、自适应锚框计算、自适应图片缩放
  2. Backbone:Focus结构、CSP结构
  3. Neck:FPN+PAN结构
  4. Prediction:GIOU_Loss

2. loss有几种

在机器学习中,损失函数(loss function)是用来估量模型的预测值f(x)与真实值Y的不一致程度,损失函数越小,一般就代表模型的鲁棒性越好,正是损失函数指导了模型的学习。

  1. LogLoss对数损失函数(逻辑回归,交叉熵损失)

log损失函数.png
就是利用已知的样本分布,找到最有可能(即最大概率)导致这种分布的参数值;或者说什么样的参数才能使我们观测到目前这组数据的概率最大

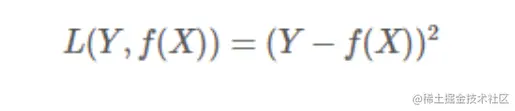
  1. 平方损失函数(最小二乘法) 平方损失函数.png

  2. 指数损失函数(Adaboost)

指数损失函数.png

  1. Hinge损失函数(SVM)

Hinge损失函数.png

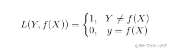
  1. 其他损失函数(0-1损失函数、绝对值损失函数) 0-1损失函数

0-1损失函数.png
绝对值损失函数

绝对值损失函数.png

3. 用过什么优化器

不太了解优化器是啥。 网上查到的是:深度学习中的优化器都采用了梯度下降的方式进行优化。 初级的优化器可以分为:批梯度下降(BGD)、随机梯度下降(SGD)、小批量随机梯度下降。 当然还有进阶的优化器、智能的优化器等等。。

4. one stage 和 two stage优缺点

基于深度学习的主流目标检测算法根据有无候选框生成阶段分为双阶段(two-stage)目标检测算法和单阶段(one-stage)目标检测算法两类。双阶段目标检测算法先对图像提取候选框,然后基于候选区域做二次修正得到检测结果,检测精度高、但是检测速度慢;单阶段目标检测算法直接对图像进行计算生成检测结果,检测速度快、但是检测精度低。

算法

695. 岛屿的最大面积