leetcode_998 最大二叉树 II

86 阅读2分钟

要求

最大树定义:一个树,其中每个节点的值都大于其子树中的任何其他值。

给出最大树的根节点 root。

就像之前的问题那样,给定的树是从列表 A(root = Construct(A))递归地使用下述 Construct(A) 例程构造的:

  • 如果 A 为空,返回 null
  • 否则,令 A[i] 作为 A 的最大元素。创建一个值为 A[i] 的根节点 root
  • root 的左子树将被构建为 Construct([A[0], A[1], ..., A[i-1]])
  • root 的右子树将被构建为 Construct([A[i+1], A[i+2], ..., A[A.length - 1]])
  • 返回 root 请注意,我们没有直接给定 A,只有一个根节点 root = Construct(A).

假设 B 是 A 的副本,并在末尾附加值 val。题目数据保证 B 中的值是不同的。

返回 Construct(B)。

 

示例 1:

image.png

输入:root = [4,1,3,null,null,2], val = 5
输出:[5,4,null,1,3,null,null,2]
解释:A = [1,4,2,3], B = [1,4,2,3,5]

示例 2:

image.png

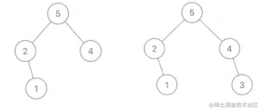
输入:root = [5,2,4,null,1], val = 3
输出:[5,2,4,null,1,null,3]
解释:A = [2,1,5,4], B = [2,1,5,4,3]

示例 3:

image.png

输入:root = [5,2,3,null,1], val = 4
输出:[5,2,4,null,1,3]
解释:A = [2,1,5,3], B = [2,1,5,3,4]

提示:

  • 1 <= B.length <= 100

核心代码

class TreeNode:
    def __init__(self, val=0, left=None, right=None):
        self.val = val
        self.left = left
        self.right = right
        
class Solution:
    def insertIntoMaxTree(self, root: Optional[TreeNode], val: int) -> Optional[TreeNode]:
        A = []
        self.inorder(root,A)
        A.append(val)
        return self.constructMaximumBinaryTree(A)
    
    def inorder(self,root,result):
        if not root:
            return 
        self.inorder(root.left,result)
        result.append(root.val)
        self.inorder(root.right,result)
        return 
    
    def constructMaximumBinaryTree(self,nums):
        if not nums:
            return None
        root = TreeNode(max(nums))
        root.left = self.constructMaximumBinaryTree(nums[:nums.index(root.val)])
        root.right = self.constructMaximumBinaryTree(nums[nums.index(root.val)+1:])
        return root

image.png

解题思路:和我们做够的654 最大二叉树的思路是一样的,就是我们在中序遍历的列表基础上增加了一个值进来,然后我们对这个值进行最大二叉树的构建,递归构建的思路就是每次都找到最大值,作为根节点,然后将最大值的左作为左子树,最大值的右作为右子树,最终递归构建出来一颗完整的最大二叉树。