大话数据结构--树、森林与二叉树的转换

217 阅读4分钟

「这是我参与11月更文挑战的第23天,活动详情查看:2021最后一次更文挑战」。

前言

废话不多,数据结构必须学! 每天更新一章,一篇写不完的话会分成两篇来写~

资料获取

image.png

6.10树、森林与二叉树的转换

树的孩子兄弟法可以将一棵树用二叉链表进行存储,借助儿茶链表,树和二叉树可以相互进行转换。因此,只要我们设定一-定的规则, 用二叉树来表示树,甚至表示森林都是可以的,森林与二叉树也可以互相进行转换。

6.10.1树转换为二叉树

将树转换为二叉树的步骤如下

1.加线。在所有兄弟结点之间加一条连线。 2.去线。对树中每个结点,只保留它与第一个孩子结点的连线,删除它与其他孩子结点之间的连线。 3.层次调整。以树的根结点为轴心,将整棵树顺时针旋转一定的角度, 使之结构层次分明。

注意点:第一个孩子是二叉树结点的左孩子,兄弟转换过来的孩子是结点的右孩子

实例如图:

image-20211116143636407

其中一棵树经过三个步骤转换为一棵二叉树。图中F、G本都是树结点B的孩子,是结点E的兄弟,因此转换后,F就是二叉树结点E的右孩子,G是二叉树结点F的右孩子。

6.10.2森林转换为二叉树

森林是由若干棵树组成的,所以完全可以理解为,森林中的每一棵树都是兄弟,可以按照兄弟的处理办法来操作。步骤如下:

1.把每个树转换为二叉树。 2.第一棵二叉树不动,从第二棵二叉树开始,依次把后一棵二叉树的根结点作为前一棵二叉树的根结点的右孩子,用线连接起来。当所有的二叉树连接起来后就得到了由森林转换来的二叉树。

实例:

image-20211116143959688

6.10.3二叉树转换为树

二叉树转换为树是树转换为二叉树的逆过程,就是反过来做

1.加线。若某结点的左孩子结点存在,则将这个左孩子的所有右孩子结点,都与该结点用线连接起来。

2.去线。删除原二叉树中所有结点与其右孩子结点的连线。

3.层次调整。使之结构层次分明。

实例如下:

image-20211116145106727

6.10.4 二叉树转换为森林

判断一棵二叉树能够转换成一棵树还是森林, 标准很简单,那就是只要看这棵二叉树的根结点有没有右孩子,有就是森林,没有就是一棵树。

1.从根结点开始,若右孩子存在,则把与右孩子结点的连线删除,再查看分离后的二叉树,若右孩子存在,则连线删除...直到所有右孩子连线都删除为止,得到分离的二叉树。 2.再将每棵分离后的二叉树转换为树即可。

实例如下:

image-20211116145813090

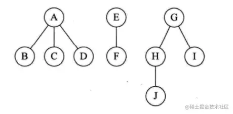
6.10.5树与森林的遍历

树的遍历分为两种方式

1.一种是先根遍历树,即先访问树的根结点,然后依次先根遍历根的每棵子树。

2.另一种是后根遍历,即先依次后根遍历每棵子树,然后再访问根结点。

image-20211116150642762

先根遍历为ABCDEFG

后根遍历序列为EFBCGDA

森林的遍历也分为两种方式

1.前序遍历:先访问森林中第一棵树的根结点,然后再依次先根遍历根的每棵子树,再依次用同样方式遍历除去第一棵树的剩余树构成的森林

2.后序遍历:是先访问森林中第一棵树, 后根遍历的方式遍历每棵子树,然后再访问根结点,再依次同样方式遍历除去第一棵树的剩余树构成的森林

实例

image-20211116151013482

前序遍历结果为ABCDEDGHJI

后序遍历BCDAFEJHIG