从零一起读_UnityShaderLab_01_向量

213 阅读2分钟

「这是我参与11月更文挑战的第2天,活动详情查看:2021最后一次更文挑战

作为一名优秀的开发者,对于技术的探求应该是永无止步的,如何让自己更进步,那就只有不停的学习,不停的充电.而这些都都是说起来容易做起来难,坚持才是难的地方 --蛙哈哈

1.1 什么是向量:

向量就是同时具备长度和方向的量,顶点的法线向量和标线向量等都是向量. 在程序中向量可以通过数对的方式表示比如三维向量(x, y, z),括号中的三个数值分别表示向量的 x 分量, y 分量, z 分量.可以解释为: 沿着每个轴进行一系列的平移,比如向量(1, 2, 3) 就可以解释为:沿着 x 轴的正方形移动1个单位,沿着 y 轴正方形移动2个单位,沿着 z 轴的正方形移动3个单位.虽然通过数对表示的向量,在外观上与坐标一模一样,但是表示的含义却完全不同.

1.2向量的四则运算

1.2.1 向量的加法

img

1.2.2 向量的减法

a = B-A = (Bx- Ax, By - Ay)

1.2.3 相反向量

如果两个向量长度相同但是方向相反, 就说明这两个向量为相反向量

0向量的相反向量是它本身

将一个向量的起点和终点颠倒就能的到一个相反向量

b = A - B = -(B - A) = -a

因此 a 的相反向量就是 -a = a * -1

1.2.4 向量的模

向量的长度被称为向量的模

a 的模 表示为:

|a| = \sqrt{x^2+y^2}\

\

1.3 点乘

1.3.1 点乘的意义

1.算两个向量有多么接近

2.算一个向量在另一个向量的投影

3.计算两个向量的夹角

img

img

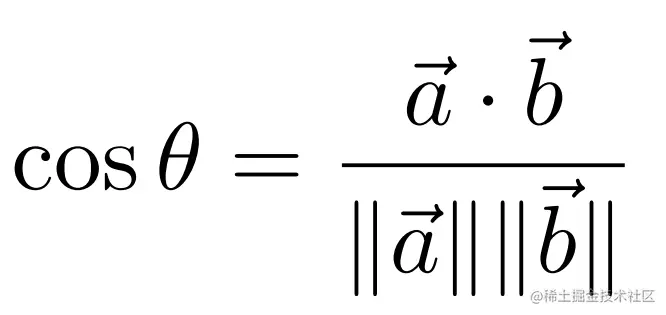
通过转换可以发现,已知两个向量,可以得到夹角.

img

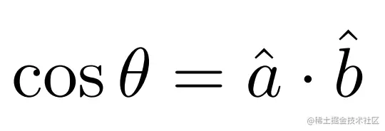
如果两个向量都是单位向量,那么两个向量的点乘就是夹角.

1.4 叉乘

img

叉乘的结果同时垂直于a和b,叉乘的结果仍是一个向量.

1.4.1 叉乘的意义

判定左和右,判定内与外

img

如果 a X b 如果结果是正的,就说明b在a的左侧