leetcode_958 二叉树的完全性检验

188 阅读1分钟

要求

给定一个二叉树,确定它是否是一个完全二叉树。

百度百科中对完全二叉树的定义如下:

若设二叉树的深度为 h,除第 h 层外,其它各层 (1~h-1) 的结点数都达到最大个数,第 h 层所有的结点都连续集中在最左边,这就是完全二叉树。(注:第 h 层可能包含 1~ 2h 个节点。)

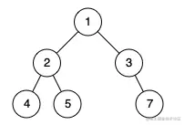
示例 1:

image.png

输入:[1,2,3,4,5,6]
输出:true
解释:最后一层前的每一层都是满的(即,结点值为 {1} 和 {2,3} 的两层),且最后一层中的所有结点({4,5,6})都尽可能地向左。

示例 2:

image.png

输入:[1,2,3,4,5,null,7]
输出:false
解释:值为 7 的结点没有尽可能靠向左侧。

提示:

  • 树中将会有 1 到 100 个结点。

核心代码

class TreeNode:
    def __init__(self, val=0, left=None, right=None):
        self.val = val
        self.left = left
        self.right = right
        
class Solution:
    def isCompleteTree(self, root: TreeNode) -> bool:
        res = []
        s = [(root,1)]
        while s:
            cur,idx = s.pop()
            if cur:
                res.append(idx)
                s.append((cur.left,2 * idx))
                s.append((cur.right,1 + 2 * idx))
        n = len(res)
        return sum(res) == n * (n + 1) // 2

image.png

解题思路:一个二叉树是完全二叉树,我们把二叉树的所有结点按照从上到下,从左往右的顺序编号,这些编号一定是连续的,根据这一原则,可以做二叉树的完全性判定。对于编号为idx的结点,它的左子树和右子树的根节点的编号一定是idx * 2和idx * 2+1,这是由二叉树的结构决定的。设n是结点数,如果编号连续,则存在编号之和等于 n * (n + 1) // 2,我们用宽度优先搜索可以实现整个遍历过程,依赖于完全二叉树的性质。