深度学习基础

365 阅读1分钟

「这是我参与11月更文挑战的第14天,活动详情查看:2021最后一次更文挑战

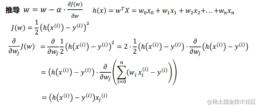
梯度下降

image.png

梯度下降的三种形式:

1、批量梯度下降(Batch Gradient Descent,BGD),梯度下降的每一步中,都用到了所有的训练样本。

2、随机梯度下降(Stochastic Gradient Descent,SGD),梯度下降的每一步中,用到一个样本,在每一次计算之后便更新参数 ,而不需要首先将所有的训练集求和。

3、小批量梯度下降(Mini-Batch Gradient Descent,MBGD) 梯度下降的每一步中,用到了一定批量的训练样本。

批量梯度下降

image.png

随机梯度下降

image.png

image.png

小批量梯度下降

image.png

计算图

计算图是用来描述计算的语言,是一种将计算形式化的方法。在计算图中,计算被表示成有向图,图中的每一个节点表示一个变量(variable),变量可以是标量(scalar)、向量(vector)、矩阵(matrix)、张量(tensor)等。图中的边表示操作(operation),即一个或多个变量的简单函数。

image.png

image.png

静态图

先搭建图,后运算,TensorFlow 是支持静态图的,需要在计算之前,先进行搭建。

动态图

运算与搭建同时进行,PyTorch 是支持动态图的,可以在进行运算的同时进行。

image.png

向量化

image.png 向量化还需要python广播。

广播, 具有扩散的特点.在数组中的广播,含义就是一个数组在另外一个数组中进行的某种运算的扩散。

image.png