LeetCode 129. 求根节点到叶节点数字之和【c++/java详细题解】

203 阅读2分钟

「这是我参与11月更文挑战的第22天,活动详情查看:2021最后一次更文挑战

1、题目

给你一个二叉树的根节点 root,树中每个节点都存放有一个 09 之间的数字。 每条从根节点到叶节点的路径都代表一个数字:

  • 例如,从根节点到叶节点的路径 1 -> 2 -> 3 表示数字 123

计算从根节点到叶节点生成的 所有数字之和

叶节点 是指没有子节点的节点。

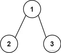
示例 1:

输入:root = [1,2,3]
输出:25
解释:
从根到叶子节点路径 1->2 代表数字 12
从根到叶子节点路径 1->3 代表数字 13
因此,数字总和 = 12 + 13 = 25

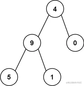
示例 2:

输入:root = [4,9,0,5,1]
输出:1026
解释:
从根到叶子节点路径 4->9->5 代表数字 495
从根到叶子节点路径 4->9->1 代表数字 491
从根到叶子节点路径 4->0 代表数字 40
因此,数字总和 = 495 + 491 + 40 = 1026

提示:

  • 树中节点的数目在范围 [1, 1000]
  • 0 <= Node.val <= 9
  • 树的深度不超过 10

2、思路

(dfs,树的遍历) O(n)O(n)

从根节点递归遍历整棵树,遍历时维护从根节点到该节点路径表示的数,当遍历到叶节点时,将路径表示的数累加到答案中。

递归函数设计:

void dfs(TreeNode* root, int number)

root是当前遍历的节点,number是从根节点到当前节点路径表示的数。

递归边界:

  • 遍历到叶节点时,将根节点到当前叶节点路径维护的数字加入答案中。

递归过程如下:

  • 1、从根节点开始往下遍历,维护一个从根节点到当前节点路径表示的数number,初始值为0
  • 2、遍历当前节点root,将root->val追加到number中,即执行 number = number * 10 + root->val操作。
  • 3、如果左子树不为空,递归到左子树。如果右子树不为空,递归到右子树。
  • 4、当遍历到叶节点时,将number加入到数字之和res中。
  • 5、最后返回res

时间复杂度分析: O(n)O(n),其中 nn是二叉树的节点个数,对每个节点访问一次。

3、c++代码

class Solution {
public:
    int res = 0;
    int sumNumbers(TreeNode* root) {
        dfs(root, 0);
        return res;
    }
    void dfs(TreeNode* root, int number)
    {
        number = number * 10 + root->val;
        if(!root->left && !root->right)  res += number;  //遍历到叶节点,将number加入res中
        if(root->left)  dfs(root->left,number);			 //递归左子树
        if(root->right) dfs(root->right,number);	     //递归右子树		
    }
};

4、java代码

class Solution {

    int res = 0;
    public int sumNumbers(TreeNode root) {
        dfs(root, 0);
        return res;
    }
    public void dfs(TreeNode root, int number)
    {
        number = number * 10 + root.val;
        if(root.left == null && root.right == null)  res += number; //遍历到叶节点,将number加入res中
        if(root.left != null)  dfs(root.left,number);				//递归左子树
        if(root.right != null) dfs(root.right,number);				//递归右子树
    }
}

原题链接: 129. 求根节点到叶节点数字之和 在这里插入图片描述