大话数据结构--遍历二叉树

425 阅读5分钟

「这是我参与11月更文挑战的第21天,活动详情查看:2021最后一次更文挑战」。

前言

废话不多,数据结构必须学! 每天更新一章,一篇写不完的话会分成两篇来写~

资料获取

image.png

6.7遍历二叉树

6.7.1 二叉树遍历原理

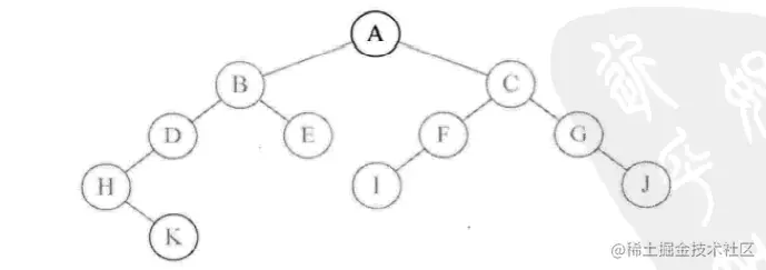
二叉树的遍历( traversing binary tree )是指从根结点出发,按照某种次序依次访问二叉树中所有结点,使得每个结点被访问一次且仅被访问一次。

访问和次序是关键!

6.7.2二叉树的遍历方法

1.前序遍历

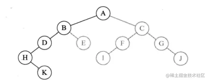
规则是若二叉树为空,则空操作返回,否则先访问根结点,然后前序遍历左子树,再前序遍历右子树。如下图所示,遍历的顺序为: ABDGHCEIF。

image-20211116003042468

2.中序遍历

规则是若树为空,则空操作返回,否则从根结点开始(注意并不是先访问根结点),中序遍历根结点的左子树,然后是访问根结点,最后中序遍历右子树。 如图所示、谝历的顺序为: GDHBAEICF。

image-20211116003113189

3.后序遍历

规则是若树为空,则空操作返回,否则从左到右先叶子后结点的方式遍历访问左右子树,最后是访问根结点。 如图所示,遍历的顺序为: GHDBIEFCA.

image-20211116003246402

4.层序遍历

规则是若树为空,则空操作返回,否则从树的第一层, 也就是根结点开始访问,从上而下逐层遍历,在同一层中,按从左到右的顺序对结点逐个访问。如图所示,遍历的顺序为: ABCDEFGHI。

image-20211116003318785

6.7.3前序遍历算法

二叉树的定义是递归的方式,所以实现算法也可以递归

 /*二叉树的前序遍历递归算法*/
 void PreOrderTraverse ( BiTree T )
 {
     if( T==NULL)
         return;
     printf ( "&c",T->data) ;/*显示结点数据,可以更改为其他对结点操作*/
     PreOrderTraverse (T->lchild) ; /*先序遍历左子树*/
     PreOrderTraverse (T->rchild) ; /*最后先序遍历右子树*/
 }

可以简单的看个例子

一颗这样的二叉树T,如果要遍历它的话

image-20211116004157462

1.调用PreOrderTraverse (T), T根结点不为null, 所以执行printf, 打印字母A

image-20211116004245468

2.调用PreOrderTraverse (T->lchild) ;访问了A结点的左孩子,不为null,执行 printf显示字母B

image-20211116004313575

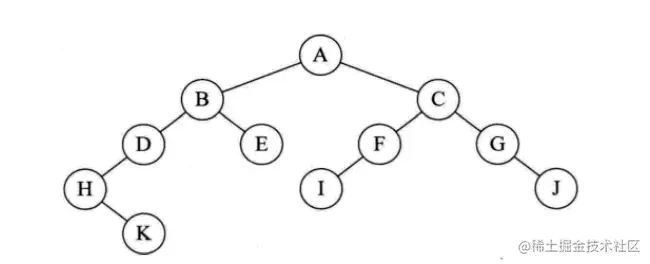
3.不断的递归调用PreOrderTraverse (T->lchild)到H,此时为H结点无左孩子,所以T==null, 返回此函数,此时递归调用PreOrderTraverse (T->rchild) ;访问了H结点的右孩子,printf 显示字母K,

image-20211116004537786

后面的话会不断的向前向左向右遍历

6.7.4中序遍历算法

 /*二叉树的前序遍历递归算法*/
 void PreOrderTraverse ( BiTree T )
 {
     if( T==NULL)
         return;
     
     InOrderTraverse (T->lchild) ; /*中遍历左子树*/
     printf ( "&c",T->data) ;/*显示结点数据,可以更改为其他对结点操作*/
 ​
     InOrderTraverse (T->rchild) ; /*最后中序遍历右子树*/
 }

流传和上类似,都是不断的递归

6.7.5后序遍历算法

 /*二叉树的前序遍历递归算法*/
 void PreOrderTraverse ( BiTree T )
 {
     if( T==NULL)
         return;
     
     InOrderTraverse (T->lchild) ; /*中遍历左子树*/
     InOrderTraverse (T->rchild) ; /*最后中序遍历右子树*/
     printf ( "&c",T->data) ;/*显示结点数据,可以更改为其他对结点操作*/
 }

6.7.6推导遍历结果

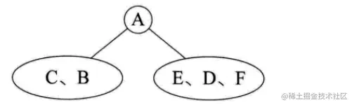
已知一棵二叉树的前序遍历序列为ABCDEF,中序遍历序列为CBAEDF,请问这棵二叉树的后序遍历结果是多少? (已知前中求后)

前序遍历是先打印在递归左跟右,所以前序遍历序列为ABCDEF,A就位根结点的数据。再由中序遍历序列CBAEDF可以CB是A的左子树,EDF是A的右子树

image-20211116105402031

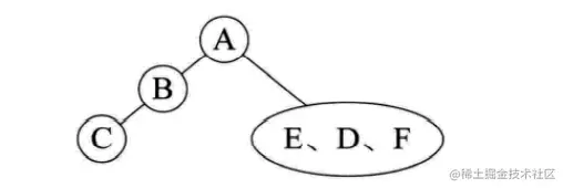
然后我们看前序中的C和B,它的顺序是ABCDEF,是先打印B后打印C,所以B应该是A的左孩子,而C就只能是B的孩子,此时是左还是右孩子还不确定。再看中序序列是CBAEDF, C是在B的前面打印,这就说明C是B的左孩子,否则就是右孩子了

image-20211116105523597

再看前序中的E、D、F,它的顺序是ABCDEF,那就意味着D是A结点的右孩子,E和F是D的子孙,注意,它们中有一个不一定是孩子,还有可能是孙子的。再来看中序序列是CBAEDF,由于E在D的左侧,而F在右侧,所以可以确定E是D的左孩子,F是D的右孩子。因此最终得到的二叉树

image-20211116105653455

得到了二叉树,结果就是CBDEFDA

为刚才判断了A结点是根结点,那么它在后序序列中,一定是最后一个。刚才推导出C是B的左孩子,而B是A的左孩子,那就意味着后序序列的前两位一定是CB。同样的办法也可以得到EFD这样的后序顺序,最终就自然的得到CBEFDA这样的序列,不用在草稿上画树状图了。

反过来 ,二叉树的中序序列是ABCDEFG,后序序列是 BDCAFGE,求前序序列。(已知中后求前)

由后序的BDCAFGE,得到E是根结点,因此前序首字母是E

于是根据中序序列分为两棵树ABCD和FG,由后序序列的BDCAFGE,知道A是E的左孩子,前序序列目前分析为EA

再由中序序列的ABCDEFG, 知道BCD是A结点的右子孙,再由后序序列的BDCAFGE知道C结点是A结点的右孩子,前序序列目前分析得到EAC。

中序序列ABCDEFG,得到B是C的左孩子,D是C的右孩子,所以前序序列目前分析结果为EACBD。

由后序序列BDCAFGE,得到G是E的右孩子,于是F就是G的孩子,细细分析,根据中序序列ABCDEFG,是可以得出F是G的左孩子。

从这里我们也得到两个二叉树遍历的性质。

已知前序遍历序列和中序遍历序列,可以唯一确定一棵二叉树。

已知后序遍历序列和中序遍历序列,可以唯一确定一棵二叉树。

要注意的是,如果已知前序和后序遍历,是不能确定一颗二叉树的