LeetCode 24. 两两交换链表中的节点 【c++/java详细题解】

741 阅读1分钟

「这是我参与11月更文挑战的第21天,活动详情查看:2021最后一次更文挑战

1、题目

给定一个链表,两两交换其中相邻的节点,并返回交换后的链表。

你不能只是单纯的改变节点内部的值,而是需要实际的进行节点交换。

示例 1:

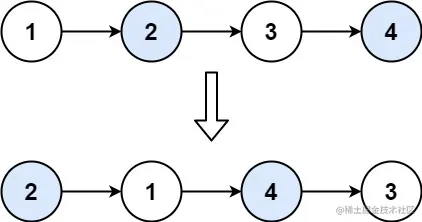
输入:head = [1,2,3,4]
输出:[2,1,4,3]

示例 2:

输入:head = []
输出:[]

示例 3:

输入:head = [1]
输出:[1]

提示:

  • 链表中节点的数目在范围 [0, 100]
  • 0 <= Node.val <= 100

2、思路

(模拟) O(n)O(n)

题目给定一个链表,要求我们两两交换其中相邻的节点,并返回交换后的链表。由于可能会对头节点进行改变,因此需要建立一个虚拟头结点dummy,指向原来的头节点。

根据题意进行模拟迭代,两两交换相邻两个结点,如下图所示:

具体过程详解:

  • 1、首先定义p = dummya = p->nextb = a->next

  • 2、遍历整个链表,第一步先将pnext指针指向b,即p->next = b

  • 3、然后将anext指向b->next,即a->next = b->next

  • 4、最后将bnext指向a,即b->next = a

    经过上述操作以后,我们就成功交换了ab节点,然后让p指向a节点,重复上述操作即可。

  • 5、最后返回虚拟头节点的下一个节点

时间复杂度分析: O(n)O(n),其中 nn是链表的节点数量。

3、c++代码

class Solution {
public:
    ListNode* swapPairs(ListNode* head) {
        ListNode*  dummy = new ListNode(-1);  //虚拟头节点
        dummy->next = head;
        for(auto p = dummy; p->next && p->next->next; )
        {
            auto a = p->next, b = a->next;
            p->next = b;
            a->next = b->next;
            b->next = a;
            p = a;
        }
        return dummy->next;
    }
};

4、java代码

class Solution {
    public ListNode swapPairs(ListNode head) {
        ListNode dummy = new ListNode(0);
        dummy.next = head;
        for(ListNode p = dummy; p.next != null && p.next.next != null;)
        {
            ListNode a = p.next;	//虚拟头节点
            ListNode b = a.next;
            p.next = b;
            a.next = b.next;
            b.next = a;
            p = a;
        }
        return dummy.next;
    }
}

原题链接: 24. 两两交换链表中的节点

在这里插入图片描述