【力扣-二叉树】13、最大二叉树

286 阅读2分钟

「这是我参与11月更文挑战的第18天,活动详情查看:2021最后一次更文挑战

654. 最大二叉树

题目描述

给定一个不含重复元素的整数数组 nums 。一个以此数组直接递归构建的 最大二叉树 定义如下:

  1. 二叉树的根是数组 nums 中的最大元素。
  2. 左子树是通过数组中 最大值左边部分 递归构造出的最大二叉树。
  3. 右子树是通过数组中 最大值右边部分 递归构造出的最大二叉树。

返回有给定数组 nums 构建的 最大二叉树

示例 1:

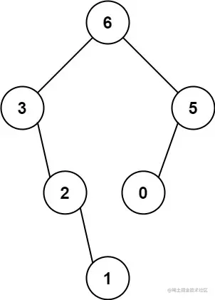
输入: nums = [3,2,1,6,0,5]
输出: [6,3,5,null,2,0,null,null,1]
解释: 递归调用如下所示:
- [3,2,1,6,0,5] 中的最大值是 6 ,左边部分是 [3,2,1] ,右边部分是 [0,5] 。
    - [3,2,1] 中的最大值是 3 ,左边部分是 [] ,右边部分是 [2,1] 。
        - 空数组,无子节点。
        - [2,1] 中的最大值是 2 ,左边部分是 [] ,右边部分是 [1] 。
            - 空数组,无子节点。
            - 只有一个元素,所以子节点是一个值为 1 的节点。
    - [0,5] 中的最大值是 5 ,左边部分是 [0] ,右边部分是 [] 。
        - 只有一个元素,所以子节点是一个值为 0 的节点。
        - 空数组,无子节点。

示例 2:

输入: nums = [3,2,1]
输出: [3,null,2,null,1]

解析

类似于上一题(13、从中序与后序遍历序列构造二叉树(106))

  • 1、如果数组为空,则返回空
  • 2、找到数组中的最大数,作为根节点
  • 3、将剩余的数组分为左数组和右数组
  • 4、递归构造二叉树(处理左数组和右数组)

代码

class Solution
{
public:
    TreeNode *constructMaximumBinaryTree(vector<int> &nums)
    {
        return traversal(nums);
    }

    TreeNode *traversal(vector<int> &nums)
    {
        // 判断如果数组为空,则返回NULL
        if (nums.size() == 0)
        {
            return NULL;
        }
        // 2、查找最大值所在的位置,构造根节点
        int maxIndex = 0, maxVal = MIN_INT;
        for (int i = 0; i < nums.size(); i++)
        {
            if (nums[i] > maxVal)
            {
                maxVal = nums[i];
                maxIndex = i;
            }
        }
        TreeNode *root = new TreeNode(maxVal);
        // 3、根据根节点的所在位置,将数组分为左右数组
        vector<int> leftSub(nums.begin(), nums.begin() + maxIndex);
        vector<int> rightSub(nums.begin() + maxIndex + 1, nums.end());

        // 4、递归处理左右数组
        root->left = traversal(leftSub);
        root->right = traversal(rightSub);

        return root;
    }
};