563. 二叉树的坡度

246 阅读2分钟

这是我参与11月更文挑战的第16天,活动详情查看:2021最后一次更文挑战

563. 二叉树的坡度

给定一个二叉树,计算 整个树 的坡度 。

一个树的 节点的坡度 定义即为,该节点左子树的节点之和和右子树节点之和的 差的绝对值 。如果没有左子树的话,左子树的节点之和为 0 ;没有右子树的话也是一样。空结点的坡度是 0 。

整个树 的坡度就是其所有节点的坡度之和。

 

示例 1:

image.png

输入:root = [1,2,3]
输出:1
解释:
节点 2 的坡度:|0-0| = 0(没有子节点)
节点 3 的坡度:|0-0| = 0(没有子节点)
节点 1 的坡度:|2-3| = 1(左子树就是左子节点,所以和是 2 ;右子树就是右子节点,所以和是 3 )
坡度总和:0 + 0 + 1 = 1

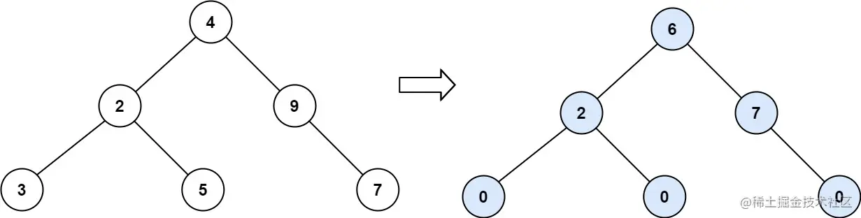
示例 2:

image.png

输入:root = [4,2,9,3,5,null,7]
输出:15
解释:
节点 3 的坡度:|0-0| = 0(没有子节点)
节点 5 的坡度:|0-0| = 0(没有子节点)
节点 7 的坡度:|0-0| = 0(没有子节点)
节点 2 的坡度:|3-5| = 2(左子树就是左子节点,所以和是 3 ;右子树就是右子节点,所以和是 5 )
节点 9 的坡度:|0-7| = 7(没有左子树,所以和是 0 ;右子树正好是右子节点,所以和是 7 )
节点 4 的坡度:|(3+5+2)-(9+7)| = |10-16| = 6(左子树值为 3、5 和 2 ,和是 10 ;右子树值为 9 和 7 ,和是 16 )
坡度总和:0 + 0 + 0 + 2 + 7 + 6 = 15

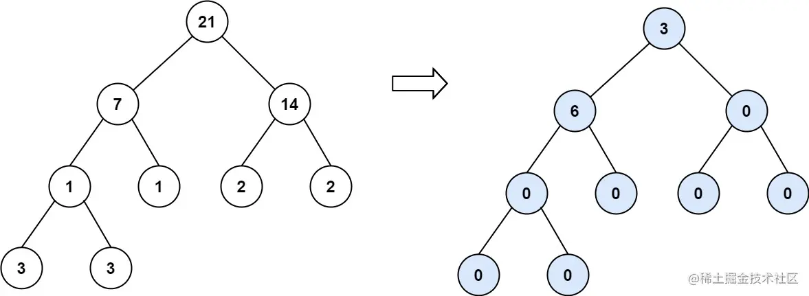
示例 3:

image.png

输入:root = [21,7,14,1,1,2,2,3,3]
输出:9

提示:

  • 树中节点数目的范围在 [0, 10410^4] 内
  • -1000 <= Node.val <= 1000

解题思路

使用递归进行dfs的方法,计算出每个节点左右子树的总和,从而得出当前节点的坡度,并且返回当前子树的总和给上一层调用。

代码

/**
 * Definition for a binary tree node.
 * public class TreeNode {
 *     int val;
 *     TreeNode left;
 *     TreeNode right;
 *     TreeNode(int x) { val = x; }
 * }
 */
class Solution {
    public int findTilt(TreeNode root) {

        helper(root);

        return total;
    }
    int total=0;
    public int helper(TreeNode root) {
        if(root==null) return 0;
        if(root.left==null&&root.right==null)
              return root.val;
          int left=helper(root.left);
        int right=helper(root.right);
        total+=Math.abs(left-right);
        return left+right+root.val;

    }
}