563. 二叉树的坡度 : 简单二叉树递归题

448 阅读3分钟

「这是我参与11月更文挑战的第 18 天,活动详情查看:2021最后一次更文挑战」。

题目描述

这是 LeetCode 上的 563. 二叉树的坡度 ,难度为 简单

Tag : 「二叉树」、「DFS」

给定一个二叉树,计算整个树的坡度 。

一个树的 节点的坡度 定义即为,该节点左子树的节点之和和右子树节点之和的 差的绝对值 。

如果没有左子树的话,左子树的节点之和为 00 ;没有右子树的话也是一样。空结点的坡度是 00

整个树 的坡度就是其所有节点的坡度之和。

示例 1:

输入:root = [1,2,3]

输出:1

解释:
节点 2 的坡度:|0-0| = 0(没有子节点)
节点 3 的坡度:|0-0| = 0(没有子节点)
节点 1 的坡度:|2-3| = 1(左子树就是左子节点,所以和是 2 ;右子树就是右子节点,所以和是 3 )
坡度总和:0 + 0 + 1 = 1

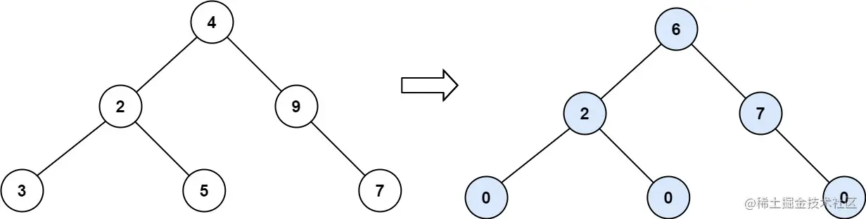
示例 2:

输入:root = [4,2,9,3,5,null,7]

输出:15

解释:
节点 3 的坡度:|0-0| = 0(没有子节点)
节点 5 的坡度:|0-0| = 0(没有子节点)
节点 7 的坡度:|0-0| = 0(没有子节点)
节点 2 的坡度:|3-5| = 2(左子树就是左子节点,所以和是 3 ;右子树就是右子节点,所以和是 5 )
节点 9 的坡度:|0-7| = 7(没有左子树,所以和是 0 ;右子树正好是右子节点,所以和是 7 )
节点 4 的坡度:|(3+5+2)-(9+7)| = |10-16| = 6(左子树值为 3、5 和 2 ,和是 10 ;右子树值为 9 和 7 ,和是 16 )
坡度总和:0 + 0 + 0 + 2 + 7 + 6 = 15

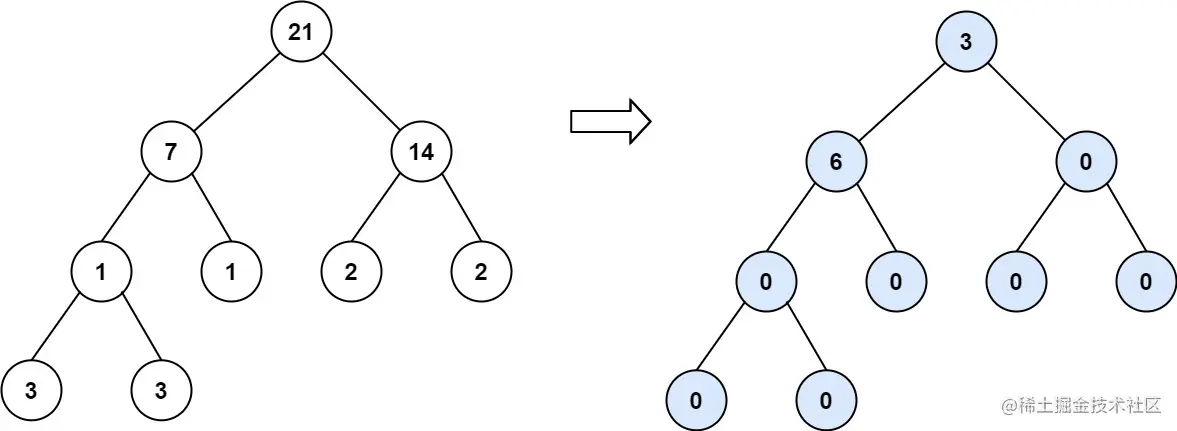
示例 3:

输入:root = [21,7,14,1,1,2,2,3,3]

输出:9

提示:

  • 树中节点数目的范围在 [0,104][0, 10^4]
  • 1000<=Node.val<=1000-1000 <= Node.val <= 1000

递归

根据题目对「坡度」的定义,我们可以直接写出对应的递归实现。

代码:

class Solution {
    public int findTilt(TreeNode root) {
        if (root == null) return 0;
        return findTilt(root.left) + findTilt(root.right) + Math.abs(getSum(root.left) - getSum(root.right));
    }
    int getSum(TreeNode root) {
        if (root == null) return 0;
        return getSum(root.left) + getSum(root.right) + root.val;
    }
}
  • 时间复杂度:每个节点被访问的次数与其所在深度有关。复杂度为 O(n2)O(n^2)
  • 空间复杂度:忽略递归来带的额外空间消耗。复杂度为 O(1)O(1)

递归

上述解法之所以为 O(n2)O(n^2) 的时间复杂度,是因为我们将「计算子树坡度」和「计算子树权值和」两个操作分开进行。

事实上,我们可以在计算子树权值和的时候将坡度进行累加,从而将复杂度降为 O(n)O(n)

代码:

class Solution {
    int ans;
    public int findTilt(TreeNode root) {
        dfs(root);
        return ans;
    }
    int dfs(TreeNode root) {
        if (root == null) return 0;
        int l = dfs(root.left), r = dfs(root.right);
        ans += Math.abs(l - r);
        return l + r + root.val;
    }
}
  • 时间复杂度:O(n)O(n)
  • 空间复杂度:O(1)O(1)

最后

这是我们「刷穿 LeetCode」系列文章的第 No.563 篇,系列开始于 2021/01/01,截止于起始日 LeetCode 上共有 1916 道题目,部分是有锁题,我们将先把所有不带锁的题目刷完。

在这个系列文章里面,除了讲解解题思路以外,还会尽可能给出最为简洁的代码。如果涉及通解还会相应的代码模板。

为了方便各位同学能够电脑上进行调试和提交代码,我建立了相关的仓库:github.com/SharingSour…

在仓库地址里,你可以看到系列文章的题解链接、系列文章的相应代码、LeetCode 原题链接和其他优选题解。